精英家教网 > 高中数学 > 题目详情

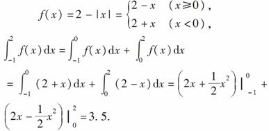
已知f(x)=2-|x|,则

f(x)dx等于(  )

A.3                                    B.4

C.3.5                                  D.4.5

练习册系列答案
相关习题

科目:高中数学 来源: 题型:


某公司在甲、乙两地销售一种品牌车,利润(单位:万元)分别为L1=5.06x-0.15x2L2=2x,其中x为销售量(单位:辆).若该公司在这两地共销售15辆车,则能获得的最大利润为(  )

A.45.606万元                           B.45.6万元

C.45.56万元                            D.45.51万元

查看答案和解析>>

科目:高中数学 来源: 题型:


函数f(x)=x2-3x-4在[0,2]上的最小值是(  )

A.-                                B.-

C.-4                                  D.-

查看答案和解析>>

科目:高中数学 来源: 题型:


若直线ymy=3xx3的图象有三个不同的交点,则实数m的取值范围为(  )

A.-2<m<2                              B.-2≤m≤2

C.m<-2或m>2                          D.m≤-2或m≥2

查看答案和解析>>

科目:高中数学 来源: 题型:


某种产品每件成本为6元,每件售价为x元(6<x<11),年销售为u万件,若已知u2成正比,且售价为10元时,年销量为28万件.

(1)求年销售利润y关于售价x的函数关系式;

(2)求售价为多少时,年利润最大,并求出最大年利润.

查看答案和解析>>

科目:高中数学 来源: 题型:


f(x)是一次函数,且f(x)dx=5,xf(x)dx,求dx的值.

查看答案和解析>>

科目:高中数学 来源: 题型:


已知角α和角β的终边关于直线y=x对称,且β=-,则sinα=(  )

A.-                               B.

C.-                                 D.

查看答案和解析>>

科目:高中数学 来源: 题型:


等于(  )

A.sin2-cos2                           B.cos2-sin2

C.±(sin2-cos2)                       D.sin2+cos2

查看答案和解析>>

科目:高中数学 来源: 题型:


已知函数f(x)=(sinx+cosx)-|sinx-cosx|,则f(x)的值域是________.

查看答案和解析>>

同步练习册答案