精英家教网 > 高中数学 > 题目详情
在△ABC中,角A、B、C所对的边分别为a、b、c,若向量=(cosB,sinC),=(cosC,-sinB),且
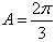
(Ⅰ)求角A的大小;
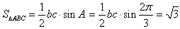
(Ⅱ)若a=2,△ABC的面积S=,求b+c的值。
解:(Ⅰ)






(Ⅱ)
∴bc=4,
又由余弦定理得:

∴b+c=4。
练习册系列答案
相关习题

科目:高中数学 来源: 题型:

在△ABC中,角A、B、C所对的边分别为a,b,c,若b2+c2-a2=
3
bc
,且b=
3
a
,则下列关系一定不成立的是(  )
A、a=c
B、b=c
C、2a=c
D、a2+b2=c2

查看答案和解析>>

科目:高中数学 来源: 题型:

在△ABC中,角A,B,C的对边分别为a,b,c,已知B=60°,cos(B+C)=-
1114

(1)求cosC的值;
(2)若bcosC+acosB=5,求△ABC的面积.

查看答案和解析>>

科目:高中数学 来源: 题型:

在△ABC中,角A,B,C的对边分别是a,b,c,且bsinA=
3
acosB

(1)求角B的大小;
(2)若a=4,c=3,D为BC的中点,求△ABC的面积及AD的长度.

查看答案和解析>>

科目:高中数学 来源: 题型:

在△ABC中,角A、B、C所对的边分别为a、b、c并且满足
b
a
=
sinB
cosA

(1)求∠A的值;
(2)求用角B表示
2
sinB-cosC
,并求它的最大值.

查看答案和解析>>

科目:高中数学 来源: 题型:

在△ABC中,角A,B,C所对边的长分别为a,b,c,且a=
5
,b=3,sinC=2sinA
,则sinA=
 

查看答案和解析>>

同步练习册答案