精英家教网 > 高中数学 > 题目详情

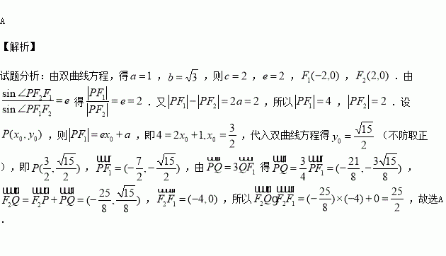
已知双曲线的左、右焦点分别为,双曲线的离心率为,若双曲线上一点使点为直线上的一点,且,则的值为( )

A. B. C. D.

练习册系列答案
相关习题

科目:高中数学 来源:2016届云南师范大附中高考适应性月考三文科数学试卷(解析版) 题型:解答题

已知椭圆的焦点在轴上,离心率等于,且过点

(Ⅰ)求椭圆的标准方程;

(Ⅱ)过椭圆的右焦点作直线交椭圆两点,交轴于点,若,求证:为定值.

查看答案和解析>>

科目:高中数学 来源:2016届湖南省长沙市高三月考三文科数学试卷(解析版) 题型:填空题

已知函数

(1)当时,求函数的最小值;

(2)当函数的定义域为R时,求实数a的取值范围.

查看答案和解析>>

科目:高中数学 来源:2016届黑龙江省齐齐哈尔市高三上期中理科数学试卷(解析版) 题型:填空题

已知,观察下列各式: 类比得:,则___________.

查看答案和解析>>

科目:高中数学 来源:2016届贵州市高三上第四次月考理科数学试卷(解析版) 题型:解答题

如图,在中,边上的中线长为3,且

(1)求的值;

(2)求边的长.

查看答案和解析>>

科目:高中数学 来源:2016届安徽省高三上第五次月考理科数学试卷(解析版) 题型:解答题

已知抛物线,过点的直线交C于A,B两点,抛物线C在点A处的切线与在点B处的切线交于点P.

(1)若直线的斜率为1,求

(2)求面积的最小值.

查看答案和解析>>

科目:高中数学 来源:2015-2016学年湖南株洲二中高二上第三次月考文数学卷(解析版) 题型:填空题

已知数列是首项、公比都为正数的等比数列,数列的前项和为,则数列的通项公式为

查看答案和解析>>

科目:高中数学 来源:2015-2016学年山东省高二上学情调查理科数学卷(解析版) 题型:填空题

已知为椭圆的两个焦点,过的直线交椭圆于A、B两点,若,则

查看答案和解析>>

科目:高中数学 来源:2016届浙江省临海市高三上第三次统练文科数学试卷(解析版) 题型:选择题

对于不重合的两平面,给定下列条件:

①存在平面,使得都垂直于

②存在平面,使得都平行于

③存在直线

④存在异面直线

其中可以判定平行的条件有( )

A.1个 B.2个 C.3个 D.4个

查看答案和解析>>

同步练习册答案