精英家教网 > 高中数学 > 题目详情
已知△ABC的三边长|CB|,|AB|,|CA|成等差数列,若点A,B的坐标分别为(-1,0),(1,0).
(Ⅰ)求顶点C的轨迹W的方程;
(Ⅱ)若线段CA的延长线交轨迹W于点D,当时,求线段CD的垂直平分线l与x轴交点的横坐标的取值范围.

【答案】分析:(1)根据椭圆的定义求轨迹方程.
(2)设出直线AC方程,代入椭圆,据根与系数的关系求出CD中点的坐标,得到CD垂直平分线l的方程,令y=0,得l与x轴交点的横坐标解析式,利用导数判断解析式的单调性,据单调性得出l与x轴交点的横坐标的取值范围.
解答:解:
(Ⅰ)因为|CB|,|AB|,|CA|成等差数列,
点A、B的坐标分别为(-1,0),(1,0)
所以|CB|+|CA|=2|AB|=4且4>|AB|
由椭圆的定义可知点C的轨迹是以A,B为焦点、长轴为4的椭圆(去掉长轴的端点),
所以
故顶点C的轨迹W方程为.(4分)
(Ⅱ)由题意可知直线AC的斜率存在,设直线AC方程为y=k(x+1).
得 (3+4k2)x2+8k2x+4k2-12=0,
设C,D两点坐标分别为(x1,y1),(x2,y2),

所以线段CD中点E的坐标为
故CD垂直平分线l的方程为
令y=0,得l与x轴交点的横坐标为
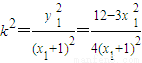
,解得-1<x1≤0,
又因为,所以
当-1<x1≤0时,有,此时函数递减,
所以k2≥3.所以,
故直线l与x轴交点的横坐标的范围是.(13分)
点评:本题考查等差数列的性质、椭圆的定义,直线与圆锥曲线的综合应用.
练习册系列答案
相关习题

科目:高中数学 来源: 题型:

已知△ABC的三边长分别为a,b,c,其面积为S,则△ABC的内切圆的半径r=
2Sa+b+c
.这是一道平面几何题,请用类比推理方法,猜测对空间四面体ABCD存在什么类似结论?
 

查看答案和解析>>

科目:高中数学 来源: 题型:

已知△ABC的三边长a,b,c满足b+2c≤3a,c+2a≤3b,则
ba
的取值范围为
 

查看答案和解析>>

科目:高中数学 来源: 题型:

已知△ABC的三边长为a、b、c,满足直线ax+by+c=0与圆x2+y2=1相离,则△ABC是(  )
A、锐角三角形B、直角三角形C、钝角三角形D、以上情况都有可能

查看答案和解析>>

科目:高中数学 来源: 题型:

已知△ABC的三边长为三个连续的正整数,且最大角为钝角,则最长边长为
4
4

查看答案和解析>>

科目:高中数学 来源: 题型:

已知△ABC的三边长AC=3,BC=4,AB=5,P为AB边上任意一点,则
CP
•(
BA
-
BC
)
的最大值为
 

查看答案和解析>>

同步练习册答案