精英家教网 > 高中数学 > 题目详情
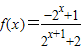
已知定义域为R的函数是奇函数.
(Ⅰ)求a,b的值;
(Ⅱ)解不等式f(5-2x)+f(3x+1)<0.
【答案】分析:(I)利用奇函数定义f(x)=-f(x),根据f(0)=0,f(-1)=-f(1),构造方程组,解方程组可求a,b的值;
(II)由已知中函数的解析式,分析出函数的单调性,结合(I)中函数的奇偶性,可将不等式f(5-2x)+f(3x+1)<0化为x的一次不等式,进而得到答案.
解答:解:(I)∵函数是奇函数
∴f(0)=0,f(1)=-f(-1),

解得a=2,b=1
(II)由(I)得=+
∵y=2x为增函数,
∴y=2x+1为增函数,
∴y=为减函数,
∴函数f(x)为减函数
若f(5-2x)+f(3x+1)<0
则f(5-2x)<-f(3x+1)=f(-3x-1)
则5-2x>-3x-1
解得x>-6
点评:本题主要考查函数奇偶性与单调性的综合应用;同时考查一元一次不等式的解法,熟练掌握函数单调性及奇偶性的定义是解答的关键.
练习册系列答案
相关习题

科目:高中数学 来源: 题型:

(2010•石家庄二模)已知定义域为R的函数f(x)在(1,+∞)上为减函数,且函数y=f(x+1)为偶函数,则(  )

查看答案和解析>>

科目:高中数学 来源: 题型:

已知定义域为R的函数f(x)满足f(x)f(x+2)=5,若f(2)=3,则f(2012)=
5
3
5
3

查看答案和解析>>

科目:高中数学 来源: 题型:

已知定义域为R的函数f(x)在(4,+∞)上为减函数,且函数y=f(x)的对称轴为x=4,则(  )

查看答案和解析>>

科目:高中数学 来源: 题型:

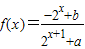
已知定义域为R的函数f(x)=
-2x+a2x+1
是奇函数
(1)求a值;
(2)判断并证明该函数在定义域R上的单调性;
(3)若对任意的t∈R,不等式f(t2-2t)+f(2t2-k)<0恒成立,求实数k的取值范围;
(4)设关于x的函数F(x)=f(4x-b)+f(-2x+1)有零点,求实数b的取值范围.

查看答案和解析>>

科目:高中数学 来源: 题型:

已知定义域为R的函数f(x)满足f(4-x)=-f(x),当x<2时,f(x)单调递减,如果x1+x2>4且(x1-2)(x2-2)<0,则f(x1)+f(x2)的值(  )

查看答案和解析>>

同步练习册答案