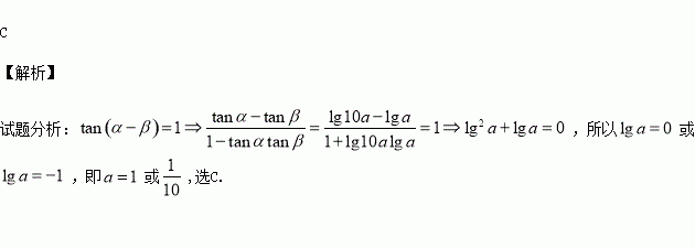
精英家教网 > 高中数学 > 题目详情

,且,则实数的值为( )

A.1 B. C.1或 D.1或10

练习册系列答案
相关习题

科目:高中数学 来源:2016届湖南省长沙市高考模拟一理科数学试卷(解析版) 题型:选择题

已知双曲线的左、右焦点分别为,过作圆的切线分别交双曲线的左、右两支于点,且,则双曲线的离心率为( )

A. B. C. D.

查看答案和解析>>

科目:高中数学 来源:2016届海南省高考模拟十理科数学试卷(解析版) 题型:填空题

已知圆轴负半轴的交点为为直线上一点,过作圆的切线,切点为,若,则的最大值为 .

查看答案和解析>>

科目:高中数学 来源:2016届海南省高考模拟十文科数学试卷(解析版) 题型:解答题

如图,的一条切线,切点为,直线都是的割线,已知.

(1)若,求的值;

(2)求证:.

查看答案和解析>>

科目:高中数学 来源:2016届海南省高考模拟十文科数学试卷(解析版) 题型:填空题

已知圆轴负半轴的交点为为直线上一点,过作圆的切线,切点为,若,则的最大值为 .

查看答案和解析>>

科目:高中数学 来源:2016届海南省高考模拟十文科数学试卷(解析版) 题型:选择题

若向量,且那么等于( )

A.-1 B.1 C.-2 D.2

查看答案和解析>>

科目:高中数学 来源:2015-2016学年西藏日喀则一中高二4月月考理科数学试卷(解析版) 题型:填空题

如图,四棱柱中,底面是矩形,且,若的中点,且.

(1)求证:平面

(2)线段上是否存在一点,使得二面角的大小为?若存在,求出的长;若不存在,说明理由.

查看答案和解析>>

科目:高中数学 来源:2015-2016学年西藏日喀则一中高二4月月考理科数学试卷(解析版) 题型:选择题

若椭圆的离心率为,则双曲线的渐近线方程为( )

A. B. C. D.

查看答案和解析>>

科目:高中数学 来源:2015-2016学年辽宁省高二下期中理科数学试卷(解析版) 题型:选择题

若函数有两个零点,则实数的取值范围为( )

A. B. C. D.

查看答案和解析>>

同步练习册答案