精英家教网 > 高中数学 > 题目详情

如图,直三棱柱ABC-A1B1C1中,D,E分别是AB,BB1的中点,AA1=AC=CB=AB.

(Ⅰ)证明:BC1∥平面A1CD;

(Ⅱ)求二面角D-A1C-E的正弦值.

 

【答案】

(Ⅰ)详见解析;(Ⅱ)

【解析】

试题分析:(Ⅰ)在平面内找一条直线与已知直线平行,通过线线平行可证;(Ⅱ)利用空间向量可求.

试题解析:(Ⅰ) 如图,连结AC1交A1C于点F,则F为AC1的中点.

又D是AB的中点,连结DF,则BC1∥DF.

∵BC1⊄平面A1CD,DF⊂平面A1CD,

∴BC1∥平面A1CD.                        4分

(Ⅱ)由AC=CB=AB,得AC⊥BC.

以C为坐标原点,的方向为x轴的正方向,建立如图所示的空间直角坐标系C-xyz.

设CA=2,则D(1,1,0),E(0,2,1),A1(2,0,2),

=(1,1,0),=(0,2,1),=(2,0,2).

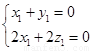
设n=(x1,y1,z1)是平面A1CD的法向量,则

,可取n=(1,-1,-1).

同理,设m是平面A1CE的法向量,则

,可取m=(2,1,-2).

从而cos<n,m>=,  ∴sin<n,m>=

故二面角D-A1C-E的正弦值为.                 12分

考点:线面平行关系,二面角,空间向量的求解.

 

练习册系列答案
相关习题

科目:高中数学 来源: 题型:

精英家教网如图,直三棱柱ABC-A1B1C1中,∠ACB=90°,AC=1,CB=
2
,侧棱AA1=1,侧面AA1B1B的两条对角线交于点D,B1C1的中点为M,求证:CD⊥平面BDM.

查看答案和解析>>

科目:高中数学 来源: 题型:

精英家教网如图,直三棱柱ABC-A1B1C1中,底面是以∠ABC为直角的等腰直角三角形,AC=2a,BB1=3a,D为A1C1的中点,E为B1C的中点.
(1)求直线BE与A1C所成的角;
(2)在线段AA1中上是否存在点F,使CF⊥平面B1DF,若存在,求出|
AF
|;若不存在,说明理由.

查看答案和解析>>

科目:高中数学 来源: 题型:

精英家教网如图在直三棱柱ABC-A1B1C1中∠ACB=90°,AA1=2,AC=BC=1,则异面直线A1B与AC所成角的余弦值是
 

查看答案和解析>>

科目:高中数学 来源: 题型:

如图,直三棱柱ABC-A1B1C1中,AC⊥BC,AC=BC=CC1=2,M,N分别为AC,B1C1的中点.
(Ⅰ)求线段MN的长;
(Ⅱ)求证:MN∥平面ABB1A1
(Ⅲ)线段CC1上是否存在点Q,使A1B⊥平面MNQ?说明理由.

查看答案和解析>>

科目:高中数学 来源: 题型:

精英家教网如图,直三棱柱ABC-A1B1C1中,∠BAC=90°,AB=AC=a,AA1=2a,D棱B1B的中点.
(Ⅰ)证明:A1C1∥平面ACD;
(Ⅱ)求异面直线AC与A1D所成角的大小;
(Ⅲ)证明:直线A1D⊥平面ADC.

查看答案和解析>>

同步练习册答案