精英家教网 > 高中数学 > 题目详情

选修4-4:坐标系与参数方程

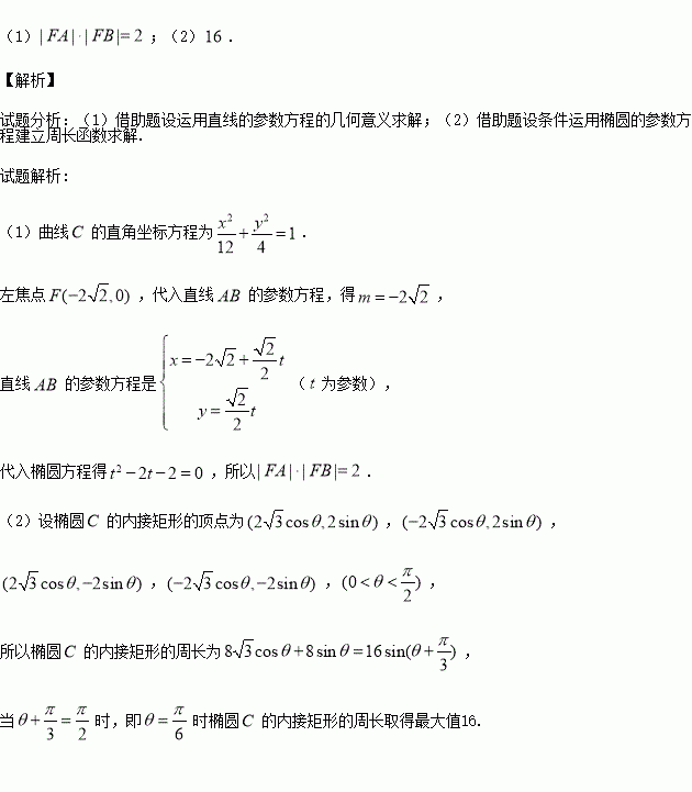
已知直线的参数方程为为参数),以坐标原点为极点,轴的正半轴为极轴建立极坐标系,曲线的极坐标方程为,且曲线的左焦点在直线上.

(1)若直线与曲线交于两点,求的值;

(2)求曲线的内接矩形的周长的最大值.

练习册系列答案
相关习题

科目:高中数学 来源:2015-2016学年广东广州执信中学高二下期末理科数学试卷(解析版) 题型:选择题

过抛物线的焦点的直线依次交抛物线及其准线于点,若,且,则抛物线的方程为( )

A. B. C. D.

查看答案和解析>>

科目:高中数学 来源:2015-2016学年甘省高一下期末理科数学试卷(解析版) 题型:选择题

已知, , 则的值为( )

A. B. C. D.

查看答案和解析>>

科目:高中数学 来源:2015-2016学年广东实验中学等高二下期末文科数学试卷(解析版) 题型:选择题

已知如图所示的正方体ABCD﹣A1B1C1D1,点P、Q分别在棱BB1、DD1上,且,过点A、P、Q作截面截去该正方体的含点A1的部分,则下列图形中不可能是截去后剩下几何体的主视图的是( )

查看答案和解析>>

科目:高中数学 来源:2015-2016学年广东实验中学等高二下期末文科数学试卷(解析版) 题型:选择题

设Sn为等差数列{an}的前n项和,且a1﹣a7+a13=6,则S13=( )

A.78 B.91 C.39 D.26

查看答案和解析>>

科目:高中数学 来源:2016届湖北省高三5月一模理科数学试卷(解析版) 题型:解答题

为评估设备生产某种零件的性能,从设备生产零件的流水线上随机抽取100件零件最为样本,测量其直径后,整理得到下表:

经计算,样本的平均值,标准差,以频率值作为概率的估计值.

(1)为评判一台设备的性能,从该设备加工的零点中任意抽取一件,记其直径为,并根据以下不等式进行评判(表示相应事件的频率);

;②

.评判规则为:若同时满足上述三个不等式,则设备等级为甲;仅满足其中两个,则等级为乙,若仅满足其中一个,则等级为丙;若全部不满足,则等级为丁,试判断设备的性能等级.

(2)将直径小于等于或直径大于的零件认为是次品

(ⅰ)从设备的生产流水线上随意抽取2件零件,计算其中次品个数的数学期望

(ⅱ)从样本中随意抽取2件零件,计算其中次品个数的数学期望.

查看答案和解析>>

科目:高中数学 来源:2016届湖北省高三5月一模理科数学试卷(解析版) 题型:选择题

已知函数,若对任意的在区间总存在唯一的零点,则实数的取值范围是( )

A. B. C. D.

查看答案和解析>>

科目:高中数学 来源:2016届山东省济宁市高三下第三次模拟文科数学试卷(解析版) 题型:填空题

函数的定义域为,若满足:①内是单调函数;②存在,使得上的值域为,则称函数为“成功函数”,若函数是“成功函数”,则的取值范围为_________.

查看答案和解析>>

科目:高中数学 来源:2015-2016学年山西省高二下期末文科数学试卷(解析版) 题型:解答题

设集合,且,求实数的取值范围.

查看答案和解析>>

同步练习册答案