精英家教网 > 高中数学 > 题目详情
已知a∈R,函数f(x)=x2(x-a)。
(Ⅰ)当a=3时,求f(x)的零点;
(Ⅱ)求函数y=f(x)在区间[1,2]上的最小值。

解:(1)由题意f(x) =x2 (x-3),由f(x)=0,解得x=0,或x=3。
(2)设此最小值为m,
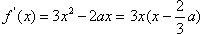
,x∈(1,2),
①当a≤0时,f'(x)>0,x∈(1,2),则f(x)是区间[1,2]上的增函数,
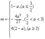
所以m=f(1)=1-a;
②当a>0时,当x<0或时,f'(x)>0,从而f(x)在区间上是增函数;
时,f'(x)<0,
从而f(x)在区间上是单减函数;
①当即a≥3时,m=f(2)=8-4a;
②当时,
③当时,m=f(1)=1-a
综上所述,所求函数的最小值

练习册系列答案
相关习题

科目:高中数学 来源: 题型:

已知a∈R,函数f(x)=
1
12
x3+
a+1
2
x2+(4a+1)x

(Ⅰ)如果函数g(x)=f′(x)是偶函数,求f(x)的极大值和极小值;
(Ⅱ)如果函数f(x)是(-∞,?+∞)上的单调函数,求a的取值范围.

查看答案和解析>>

科目:高中数学 来源: 题型:

已知a∈R,函数f(x)=ln(x+1)-x2+ax+2.
(1)若函数f(x)在[1,+∞)上为减函数,求实数a的取值范围;
(2)令a=-1,b∈R,已知函数g(x)=b+2bx-x2.若对任意x1∈(-1,+∞),总存在x2∈[-1,+∞),使得f(x1)=g(x2)成立,求实数b的取值范围.

查看答案和解析>>

科目:高中数学 来源: 题型:

已知a∈R,函数f(x)=
a
x
+lnx-1,g(x)=(lnx-1)
e
x
 
+x
(其中e为自然对数的底).
(1)当a>0时,求函数f(x)在区间(0,e]上的最小值;
(2)是否存在实数x0∈(0,e],使曲线y=g(x)在点x=x0处的切线与y轴垂直?若存在求出x0的值,若不存在,请说明理由.

查看答案和解析>>

科目:高中数学 来源: 题型:

(2013•太原一模)已知a∈R,函数 f(x)=x3+ax2+(a-3)x的导函数是偶函数,则曲线y=f(x)在原点处的切线方程为
3x+y=0
3x+y=0

查看答案和解析>>

科目:高中数学 来源: 题型:

(2013•浙江)已知a∈R,函数f(x)=x3-3x2+3ax-3a+3.
(1)求曲线y=f(x)在点(1,f(1))处的切线方程;
(2)当x∈[0,2]时,求|f(x)|的最大值.

查看答案和解析>>

同步练习册答案