精英家教网 > 高中数学 > 题目详情

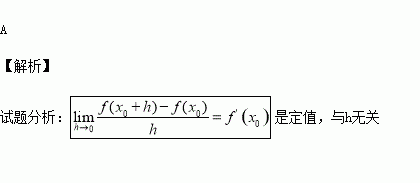
设函数处可导,则 ( )

A.仅与x0有关而与h无关 B.仅与h有关而与x0无关

C.与x0,h都有关 D.与x0、h均无关

练习册系列答案
相关习题

科目:高中数学 来源:2015-2016学年江西省高二下学期第一次月考理科数学试卷(解析版) 题型:选择题

曲线在点处的切线与坐标轴所围三角形的面积为( )

A. B. C. D.

查看答案和解析>>

科目:高中数学 来源:2015-2016学年上海市高一下学期第一次月考数学试卷(解析版) 题型:填空题

化简:若,则

查看答案和解析>>

科目:高中数学 来源:2015-2016学年江西省高二3月月考理科数学试卷(解析版) 题型:填空题

甲、乙、丙三位同学被问到是否去过三个城市时,

甲说:我去过的城市比乙多,但没有去过城市;

乙说:我没去过城市;

丙说:我们三人去过同一城市.

由此可判断乙去过的城市为__________.

查看答案和解析>>

科目:高中数学 来源:2015-2016学年江西省高二3月月考理科数学试卷(解析版) 题型:选择题

已知两个不重合的平面α,β和两条不同直线m,n,则下列说法正确的是( )

A.若m⊥n,n⊥α,m?β,则α⊥β

B.若α∥β,n⊥α,m⊥β,则m∥n

C.若m⊥n,n?α,m?β,则α⊥β

D.若α∥β,n?α,m∥β,则m∥n

查看答案和解析>>

科目:高中数学 来源:2015-2016学年江西省赣州市十三县高二下学期期中文科数学试卷(解析版) 题型:解答题

设p:实数满足,q:实数满足

(1)若,且p∧q为真,求实数的取值范围;

(2)若,且的充分不必要条件,求实数的取值范围.

查看答案和解析>>

科目:高中数学 来源:2015-2016学年江西省赣州市十三县高二下学期期中文科数学试卷(解析版) 题型:选择题

设函数是奇函数的导函数,f(-2)=0,当时, , 则使得成立的x的取值范围是( )

A.(-,-2)(0, 2) B.(-,-2)(2, +

C.(-2,0)(2,+) D.(-2,0)(0,2)

查看答案和解析>>

科目:高中数学 来源:2015-2016学年江西省赣州市十三县高二下学期期中理科数学试卷(解析版) 题型:解答题

已知的展开式中,前三项系数成等差数列.

(1)求第三项的二项式系数及项的系数;

(2)求含x项的系数.

查看答案和解析>>

科目:高中数学 来源:2015-2016学年四川省雅安市高一下学期期中理科数学试卷(解析版) 题型:解答题

中,内角对边的边长分别是,已知.

(1)若的面积等于,求

(2)若,求的面积.

查看答案和解析>>

同步练习册答案