精英家教网 > 高中数学 > 题目详情

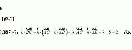
若向量,且那么等于( )

A.-1 B.1 C.-2 D.2

练习册系列答案
相关习题

科目:高中数学 来源:2016届湖南省长沙市高考模拟一文科数学试卷(解析版) 题型:选择题

满足约束条件,则的最大值为( )

A.2 B. C.3 D.1

查看答案和解析>>

科目:高中数学 来源:2016届云南省高考复习质量监测六文科数学试卷(解析版) 题型:选择题

过原点且倾斜角为的直线被圆所截得的弦长为( )

A. B. C. D.

查看答案和解析>>

科目:高中数学 来源:2016届海南省高考模拟十理科数学试卷(解析版) 题型:解答题

已知数列满足,数列满足.

(1)求证:数列是等差数列;

(2)设,求满足不等式的所有正整数的值.

查看答案和解析>>

科目:高中数学 来源:2016届海南省高考模拟十理科数学试卷(解析版) 题型:选择题

,且,则实数的值为( )

A.1 B. C.1或 D.1或10

查看答案和解析>>

科目:高中数学 来源:2016届海南省高考模拟十文科数学试卷(解析版) 题型:填空题

设函数.

(1)求不等式的解集;

(2)若恒成立,求实数的取值范围.

查看答案和解析>>

科目:高中数学 来源:2016届海南省高考模拟十文科数学试卷(解析版) 题型:解答题

已知数列满足,数列满足.

(1)求证:数列是等差数列;

(2)设,求满足不等式的所有正整数的值.

查看答案和解析>>

科目:高中数学 来源:2015-2016学年西藏日喀则一中高二4月月考理科数学试卷(解析版) 题型:填空题

已知函数,令.

(1)当时,求函数的单调递增区间;

(2)若关于的不等式恒成立,求整数的最小值;

查看答案和解析>>

科目:高中数学 来源:2015-2016学年辽宁省高二下期中文科数学试卷(解析版) 题型:选择题

函数的定义域为( )

A. B. C. D.

查看答案和解析>>

同步练习册答案