精英家教网 > 高中数学 > 题目详情

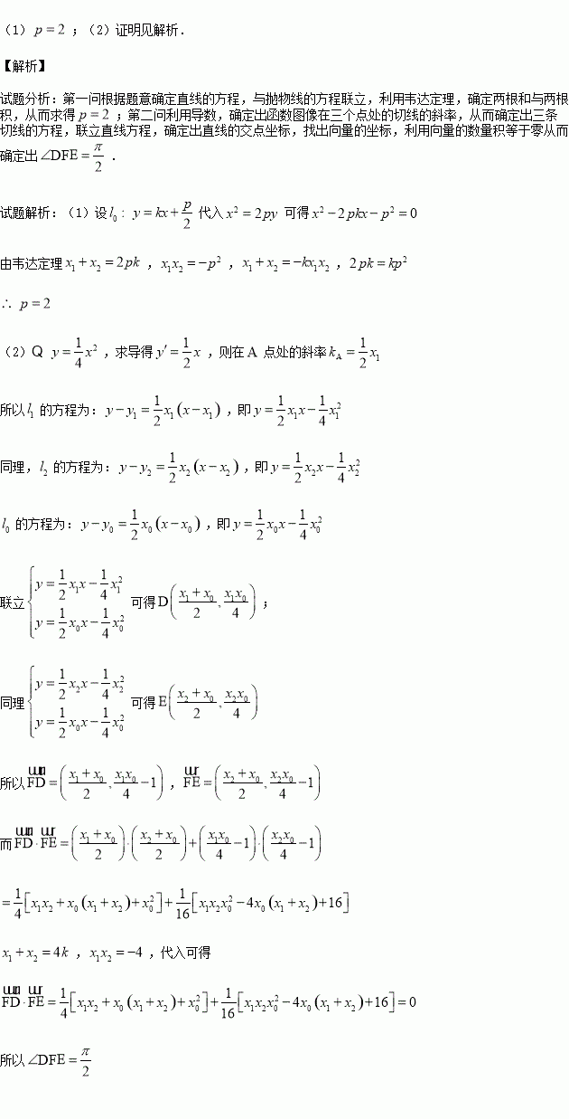
(本小题满分12分)已知曲线),过曲线的焦点斜率为)的直线交曲线两点,,其中

(1)求

(2)分别作在点处的切线,若动点)在曲线上,曲线在点处的切线于点,求证:

练习册系列答案
相关习题

科目:高中数学 来源:2016届吉林省高三上学期第一次模拟文科数学试卷(解析版) 题型:选择题

已知函数的定义域为R,且满足的导函数,又知的图象如图所示,若两个正数满足,,则的取值范围是( )

A. B. C. D.

查看答案和解析>>

科目:高中数学 来源:2016届河北省高三上第二次月考文科数学试卷B(解析版) 题型:选择题

已知α∈(),sinα=,则tan(α+)= ( )

A.7 B. C.-7 D.-

查看答案和解析>>

科目:高中数学 来源:2016届福建省四地六校高三上学期10月联考文科数学试卷(解析版) 题型:解答题

(本小题满分12分)设△ABC三个内角A、B、C所对的边分别为a,b,c.已知C=,acosA=bcosB.

(1)求角B的大小;

(2)如图,在△ABC内取一点P,使得PB=2.过点P分别作直线BA、BC的垂线PM、PN,垂足分别是M、N.设∠PBA=,求PM+PN的最大值及此时的取值.

查看答案和解析>>

科目:高中数学 来源:2016届福建省四地六校高三上学期10月联考理科数学试卷(解析版) 题型:解答题

(本题满分12分)已知二次函数满足

(1)求二次函数的解析式.

(2)求函数的单调增区间和值域 .

查看答案和解析>>

科目:高中数学 来源:2013-2014学年辽宁省高考前最后模拟文科数学试卷(解析版) 题型:选择题

已知)且,则( )

A. B. C. D.

查看答案和解析>>

科目:高中数学 来源:2016届辽宁省五校协作体高三上学期期初考试文科数学试卷(解析版) 题型:解答题

(本小题满分12分)已知函数为自然对数的底数).

(1)求函数的单调区间;

(2)设函数,存在使得成立,求实数的取值范围.

查看答案和解析>>

科目:高中数学 来源:2016届黑龙江省高三12月月考理科数学试卷(解析版) 题型:选择题

用数学归纳法证明不等式“(n>2)”过程中,由时,不等式的左边( )

A.增加了一项

B.增加了两项

C.增加了两项,又减少了一项

D.增加了一项,又减少了一项

查看答案和解析>>

科目:高中数学 来源:2015-2016学年江苏省无锡市四校高一上学期期中考试数学试卷(解析版) 题型:填空题

设函数 ,则函数的定义域为

查看答案和解析>>

同步练习册答案