精英家教网 > 高中数学 > 题目详情

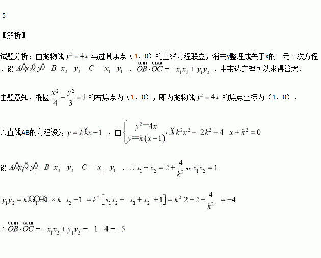
经过椭圆的右焦点的直线,交抛物线两点,点关于轴的对称点为,则

练习册系列答案
相关习题

科目:高中数学 来源:2016届江苏省高三上学期第一次月考数学试卷(解析版) 题型:填空题

已知定义在上的函数的值域为,则的单调增区间为

查看答案和解析>>

科目:高中数学 来源:2015-2016学年浙江省嘉兴市高二上12月月考数学卷(解析版) 题型:解答题

如图,在△中,,点上,.沿将△翻折成△,使平面平面;沿将△翻折成△,使平面平面

(1)求证:平面

(2)设,当为何值时,二面角的大小为

查看答案和解析>>

科目:高中数学 来源:2015-2016学年辽宁省分校高一12月月考数学卷(解析版) 题型:填空题

已知是定义在上的偶函数,且上为增函数,,则不等式的解集为________.

查看答案和解析>>

科目:高中数学 来源:2016届河北省邯郸市高三一轮收官考试二理科数学试卷(解析版) 题型:选择题

已知实数x,y满足条件若目标函数的最小值为5,其最大值为( )

A.10 B.12 C.14 D.15

查看答案和解析>>

科目:高中数学 来源:2016届重庆市高三12月月考理科数学试卷(解析版) 题型:解答题

已知函数

(1)当时,求函数上的极值;

(2)若,求证:当时,

(参考数据:

查看答案和解析>>

科目:高中数学 来源:2015-2016学年江苏省江阴市华士、成化、山观三校高二上期中数学卷(解析版) 题型:填空题

已知各顶点都在同一个球面上的正四棱锥高为,底面边长为,则这个球的表面积是

查看答案和解析>>

科目:高中数学 来源:2015-2016年湖南省株洲市高二上第二次月考文数学卷(解析版) 题型:解答题

已知椭圆:的一个顶点为,离心率为.直线与椭圆交于不同的两点M,N.

(Ⅰ)求椭圆的方程;

(Ⅱ)当△AMN得面积为时,求的值.

查看答案和解析>>

科目:高中数学 来源:2015-2016学年海南省高一上第三次月考数学试卷(解析版) 题型:选择题

下列幂函数中过点的偶函数是( )

A. B. C. D.

查看答案和解析>>

同步练习册答案