精英家教网 > 高中数学 > 题目详情

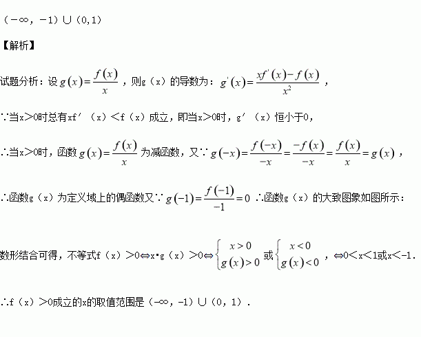
设函数f/(x)是奇函数f(x)(x∈R)的导函数,f(-1)=0,当x>0时,xf/(x)-f(x)<0,则使得f(x)>0成立的x的取值范围是

练习册系列答案
相关习题

科目:高中数学 来源:2016届福建省厦门市高三5月月考文科数学试卷(解析版) 题型:选择题

若集合,则( )

A. B. C. D.

查看答案和解析>>

科目:高中数学 来源:2016届天津市和平区高三三模文科数学试卷(解析版) 题型:选择题

设命题,则为( )

A.

B.

C.

D.

查看答案和解析>>

科目:高中数学 来源:2016届天津市和平区高三三模理科数学试卷(解析版) 题型:选择题

已知双曲线的左、右焦点分别为,且恰为抛物线的焦点, 若为双曲线与该抛物线的一个交点, 且是以为底边的等腰三角形, 则双曲线的离心率为( )

A. B. C. D.

查看答案和解析>>

科目:高中数学 来源:2015-2016学年安徽省安庆六校高二下期中理科数学试卷(解析版) 题型:解答题

甲、乙两袋中各装有大小相同的小球9个,其中甲袋中红色、黑色、白色小球的个数分别为2,3,4,乙袋中红色、黑色、白色小球的个数均为3,某人用左右手分别从甲、乙两袋中取球.

(1)若左右手各取一球,求两只手中所取的球颜色不同的概率;

(2)若左右手依次各取两球,称同一手中两球颜色相同的取法为成功取法,记两次取球(左右手依次各取两球为两次取球)的成功取法次数为随机变量X,求X的分布列。

查看答案和解析>>

科目:高中数学 来源:2015-2016学年安徽省安庆六校高二下期中理科数学试卷(解析版) 题型:选择题

若存在过点的直线与曲线都相切,则等于( )

A . B. C. D.

查看答案和解析>>

科目:高中数学 来源:2015-2016学年安徽省安庆六校高二下期中理科数学试卷(解析版) 题型:选择题

盒中装有10个乒乓球,其中6个新球,4个旧球,不放回地依次取出2个球使用,在第一次取出新球的条件下,第二次也取到新球的概率为( )

A. B. C. D.

查看答案和解析>>

科目:高中数学 来源:2015-2016学年浙江省杭州市七校高一下期中数学试卷(解析版) 题型:选择题

( )

A. B. C. D.

查看答案和解析>>

科目:高中数学 来源:2015-2016学年湖南省、四中高一下期中数学试卷(解析版) 题型:选择题

若点在第一象限,则在的取值范围是( )

A.

B.

C.

D.

查看答案和解析>>

同步练习册答案