精英家教网 > 高中数学 > 题目详情

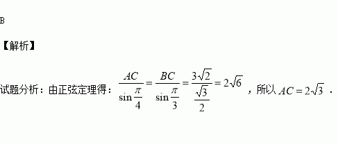
在△ABC中,若A=60°,B=45°,BC=3,则AC=( )

A.4 B.2 C. D.

练习册系列答案
相关习题

科目:高中数学 来源:2016届湖南省株洲市高三上期中理科数学试卷(解析版) 题型:解答题

选修4-4:极坐标与参数方程

已知曲线的参数方程是,直线的参数方程为

(1)求曲线与直线的普通方程;

(2)若直线与曲线相交于两点,且,求实数的值.

查看答案和解析>>

科目:高中数学 来源:2016届湖南省长沙市高三月考三理科数学试卷(解析版) 题型:选择题

雅礼中学教务处采用系统抽样方法,从学校高三年级全体1000名学生中抽50名学生做学习状况问卷调查.现将1000名学生从1到1000进行编号,求得间隔数k=20,即分50组每组20人.在第一组中随机抽取一个号,如果抽到的是17号,则第8组中应取的号码是( )

A.177 B.157 C.417 D.367

查看答案和解析>>

科目:高中数学 来源:2016届北京市海淀区高三上学期期中考试理科数学试卷(解析版) 题型:解答题

已知函数

(Ⅰ)求的值;

(Ⅱ)求函数的最小正周期和单调递增区间.

查看答案和解析>>

科目:高中数学 来源:2015-2016学年云南省景洪市高二上学期期中考试数学试卷(解析版) 题型:解答题

在锐角△ABC中,a,b,c分别为角A,B,C所对的边,又c=,b=4,且BC边上的高h=2

(1)求角C;

(2)求边a的长

查看答案和解析>>

科目:高中数学 来源:2016届浙江省嘉兴市高三上学期能力测试文科数学试卷(解析版) 题型:解答题

如图,已知矩形所在平面与等腰直角三角形所在平面互相垂直,为线段的中点.

(Ⅰ) 证明:

(Ⅱ) 求与平面所成的角的余弦值.

查看答案和解析>>

科目:高中数学 来源:2016届浙江省嘉兴市高三上学期能力测试理科数学试卷(解析版) 题型:选择题

如图,分别是双曲线的左顶点、右焦点,过的直线的一条渐近线垂直且与另一条渐近线和轴分别交于两点.若,则的离心率是( )

A. B. C. D.

查看答案和解析>>

科目:高中数学 来源:2016届江西省新余市高三第四次模拟考理科数学试卷(解析版) 题型:选择题

设两条直线的方程分别为已知是方程的两个实根,且,则这两条直线之间的距离的最大值和最小值分别是( )

A. B. C. D.

查看答案和解析>>

科目:高中数学 来源:2016届黑龙江省高三12月月考理科数学试卷(解析版) 题型:选择题

则下列判断中正确的是( )

A. B.

C. D.

查看答案和解析>>

同步练习册答案