精英家教网 > 高中数学 > 题目详情
设关于x的方程2x2-ax-2=0的两根为α、β(α<β),函数
(1)求f(α)、f(β)的值;
(2)证明f(x)是[α,β]上的增函数;
(3)当α为何值时,f(x)在区间[α,β]上的最大值与最小值之差最小?
【答案】分析:(1)先利用根与系数的关系求出α与β的关系,然后将f(α)与f(β)中的α与β消去即可;
(2)设Φ(x)=2x2-ax-2,则当a<x<β时,Φ(x)<0,利用f'(x)的符号进行判定函数的单调性即可;
(3)根据(2)可知函数f(x)在[α,β]上最大值f(β)>0,最小值f(α)<0,而|f(α)•f(β)|=4,则当f(β)=-f(α)=2时,f(β)-f(α)取最小值,从而得到结论.
解答:解:(1)
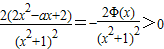
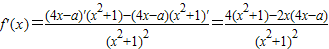
(2)设Φ(x)=2x2-ax-2,则当a<x<β时,Φ(x)<0.=-
∴函数f(x)在(α,β)上是增函数.
(3)函数f(x)在[α,β]上最大值f(β)>0,最小值f(α)<0,
∵|f(α)•f(β)|=4,
∴当且仅当f(β)=-f(α)=2时,f(β)-f(α)=|f(β)|+|f(α)|取最小值4,此时a=0,f(β)=2.
点评:本题主要考查了函数与方程的综合运用,以及函数单调性的判定和函数最值等有关知识,同时考查了计算能力,属于中档题.
练习册系列答案
相关习题

科目:高中数学 来源: 题型:

设关于x的方程2x2-ax-2=0的两根为α、β(α<β),函数f(x)=
4x-ax2+1

(1)求f(α)、f(β)的值;
(2)证明f(x)是[α,β]上的增函数;
(3)当α为何值时,f(x)在区间[α,β]上的最大值与最小值之差最小?

查看答案和解析>>

科目:高中数学 来源: 题型:

设关于x的方程2x2+ax-9=0,bx2+x-6=0的解集分别为A、B,且A∩B={
32
}

(Ⅰ) 求a和b的值;
(Ⅱ) 求函数f(x)=ax2+bx-8的零点.

查看答案和解析>>

科目:高中数学 来源: 题型:

设关于x的方程2x2-ax-2=0的两根为α,β(α<β),函数f(x)=
4x-ax2+1
,且|f(α)•f(β)|=4.
(1)证明:f(x)在[α,β]上是增函数;
(2)当α为何值时,f(x)在[α,β]上的最大值与最小值之差最小?

查看答案和解析>>

科目:高中数学 来源:2012-2013学年湖南省郴州一中高一(上)期中数学试卷(解析版) 题型:解答题

设关于x的方程2x2+ax-9=0,bx2+x-6=0的解集分别为A、B,且
(Ⅰ) 求a和b的值;
(Ⅱ) 求函数f(x)=ax2+bx-8的零点.

查看答案和解析>>

科目:高中数学 来源:2012-2013学年湖南省郴州一中高一(上)期中数学试卷(解析版) 题型:解答题

设关于x的方程2x2+ax-9=0,bx2+x-6=0的解集分别为A、B,且
(Ⅰ) 求a和b的值;
(Ⅱ) 求函数f(x)=ax2+bx-8的零点.

查看答案和解析>>

同步练习册答案