精英家教网 > 高中数学 > 题目详情

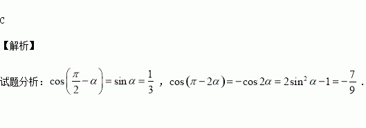
,则( )

A. B. C. D.

练习册系列答案
相关习题

科目:高中数学 来源:2016届河北省邯郸市高三下第二次模拟考试数学(理)卷(解析版) 题型:选择题

已知集合,则等于( )

A. B. C. D.

查看答案和解析>>

科目:高中数学 来源:2016届广东省深圳市高三第二次调研考试数学(文)试卷(解析版) 题型:选择题

将一颗骰子掷两次,则第二次出现的点数是第一次出现的点数的3倍的概率为( )

A. B. C. D.

查看答案和解析>>

科目:高中数学 来源:2016届广东省深圳市高三第二次调研考试数学(理)试卷(解析版) 题型:填空题

的展开式中,项的系数为_________.(结果用数值表示)

查看答案和解析>>

科目:高中数学 来源:2016届广东省深圳市高三第二次调研考试数学(理)试卷(解析版) 题型:选择题

2位男生和3位女生共5位同学站成一排,则3位女生中有且只有两位女生相邻的概率是( )

A. B. C. D.

查看答案和解析>>

科目:高中数学 来源:2016届湖南省高考冲刺卷(理)(三)数学卷(解析版) 题型:解答题

选修4-1:几何证明选讲

已知的外角的平分线, 交的延长线于点,延长的外接圆于点,连接.

(1)求证:

(2)若外接圆的直径,, 求的长.

查看答案和解析>>

科目:高中数学 来源:2016届湖南省高考冲刺卷(理)(三)数学卷(解析版) 题型:填空题

某校高一开设门选修课, 有名同学, 每人只选一门, 恰有门课程没有同学选修, 共有 种不同的选课方案.(用数字作答)

查看答案和解析>>

科目:高中数学 来源:2016届河南省高三下第二次联考文科数学卷(解析版) 题型:解答题

选修4-1:几何证明选讲

如图所示,在中,的角平分线,的外接圆交线段于点.

(1)求证:

(2)当时,求的长.

查看答案和解析>>

科目:高中数学 来源:2016届河南省高三下第二次联考理科数学卷(解析版) 题型:选择题

某校为了解本校高三学生学习的心理状态,采用系统抽样方法从800人中抽取40人参加某种测试,为此将他们随机编号为1,2,…,800,分组后在第一组采用简单随机抽样的方法抽到的号码为18,抽到的40人中,编号落在区间的人做试卷,编号落在的人做试卷,其余的人做试卷,则做试卷的人数为 ( )

A. 10 B. 12 C. 18 D. 28

查看答案和解析>>

同步练习册答案