精英家教网 > 高中数学 > 题目详情

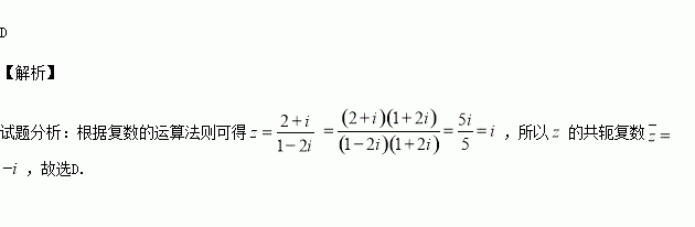
已知复数,则的共轭复数( )

A.1 B.-1 C. D.

练习册系列答案
相关习题

科目:高中数学 来源:205-2016学年吉林省高二下期中理科数学试卷(解析版) 题型:选择题

用反证法证明命题:“三角形的内角中至少有一个不大于60度”时,假设正确的是( )

A.假设三内角都不大于60度

B.假设三内角都大于60度

C.假设三内角至多有一个大于60度

D.假设三内角至多有两个大于60度

查看答案和解析>>

科目:高中数学 来源:2015-2016学年湖北省高二5月月考文科数学试卷(解析版) 题型:选择题

在斜中,,且,则角的值为( )

A. B. C. D.

查看答案和解析>>

科目:高中数学 来源:2015-2016学年湖北省高二5月月考理科数学试卷(解析版) 题型:填空题

已知向量,则 .

查看答案和解析>>

科目:高中数学 来源:2015-2016学年湖北省高二5月月考理科数学试卷(解析版) 题型:选择题

函数处的切线与直线垂直,则( )

A. B.1 C. D.2

查看答案和解析>>

科目:高中数学 来源:2015-2016学年广东惠州一中高二下期中文科数学试卷(解析版) 题型:解答题

设椭圆,定义椭圆的“相关圆”方程为,若抛物线的焦点与椭圆的一个焦点重合,且椭圆短轴的一个端点和其两个焦点构成直角三角形.

(I)求椭圆的方程和“相关圆”的方程;

(II)过“相关圆”上任意一点的直线与椭圆交于两点.为坐标原点,若,证明原点到直线的距离是定值,并求的取值范围.

查看答案和解析>>

科目:高中数学 来源:2015-2016学年广东惠州一中高二下期中文科数学试卷(解析版) 题型:填空题

若复数为虚数单位)是纯虚数,则实数的值为

查看答案和解析>>

科目:高中数学 来源:2015-2016学年江西省高二5月月考文科数学试卷(解析版) 题型:填空题

已知函数f(x)=-x3+3x2+9x+a.

(1)求f(x)的单调减区间;

(2)若f(x)在区间[-2,2]上的最大值为20,求它在该区间上的最小值.

查看答案和解析>>

科目:高中数学 来源:2016届安徽省高三下组卷二理科数学试卷(解析版) 题型:选择题

已知全集,则集合( )

A. B. C. D.

查看答案和解析>>

同步练习册答案