精英家教网 > 高中数学 > 题目详情

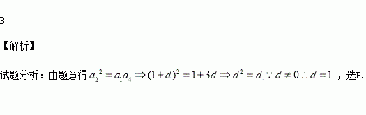
已知等差数列的首项,公差,且的等比中项,则( )

A.-1 B.1 C.-2 D.2

练习册系列答案
相关习题

科目:高中数学 来源:2016-2017学年黑吉两省八校高二上期中数学(理)试卷(解析版) 题型:选择题

在四棱锥中,底面是平行四边形,设,则可表示为( )

A. B.

C. D.

查看答案和解析>>

科目:高中数学 来源:2017届山东荣成市高三10月月考数学(文)试卷(解析版) 题型:选择题

某几何体的三视图如图所示,图中的四边形都是边长为2的正方形,正视图和侧视图中的两条虚线都互相垂直且相等,则该几何体的体积是( )

A. B. C. D.

查看答案和解析>>

科目:高中数学 来源:2017届山东荣成市高三10月月考数学(理)试卷(解析版) 题型:解答题

如图,在四棱锥中,底面是边长为1的正方形,,且的中点.

(I)求证:平面

(II)求直线与平面所成角的正弦值.

查看答案和解析>>

科目:高中数学 来源:2017届山东荣成市高三10月月考数学(理)试卷(解析版) 题型:选择题

某几何体的三视图如图所示,图中的四边形都是边长为2的正方形,正视图和侧视图中的两条虚线都互相垂直且相等,则该几何体的体积是( )

A. B. C. D.

查看答案和解析>>

科目:高中数学 来源:2017届山东荣成市高三10月月考数学(理)试卷(解析版) 题型:选择题

若集合,则( )

A. B. C. D.

查看答案和解析>>

科目:高中数学 来源:2016-2017学年福建厦门双十中学高一上期中数学试卷(解析版) 题型:填空题

函数,若互不相同,且,则的取值范围是___________.

查看答案和解析>>

科目:高中数学 来源:2016-2017学年安徽师大附中高一上期中数学试卷(解析版) 题型:解答题

,且.

(1)求

(2)求的最小值及相应的值;

(3)若,求的取值范围.

查看答案和解析>>

科目:高中数学 来源:2017届河北武邑中学高三文上期中数学试卷(解析版) 题型:选择题

复数满足,则对应的点位于复平面的( )

A.第一象限 B.第二象限 C.第三象限 D.第四象限

查看答案和解析>>

同步练习册答案