精英家教网 > 高中数学 > 题目详情
已知函数f(x)=sin2x+2sinxcosx-cos2x。
(1)求函数f(x)的单调递增区间;
(2)若,求函数f(x)的最大值和最小值,并写出相应x的值。
解:(1)由已知,可得


化简整理得:
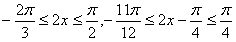
即函数f(x)的单调递增区间为
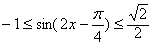
(2)由
所以


函数f(x)在的最小值为-
此时,即
函数f(x)在的最大值为1,
此时,即
综上可知,当时,函数有最小值为-
时,函数有最大值为1。
练习册系列答案
相关习题

科目:高中数学 来源: 题型:

已知函数f(x)=ax+bsinx,当x=
π
3
时,取得极小值
π
3
-
3

(1)求a,b的值;
(2)对任意x1x2∈[-
π
3
π
3
]
,不等式f(x1)-f(x2)≤m恒成立,试求实数m的取值范围;
(3)设直线l:y=g(x),曲线S:y=F(x),若直线l与曲线S同时满足下列两个条件:①直线l与曲线S相切且至少有两个切点;②对任意x∈R都有g(x)≥F(x),则称直线l与曲线S的“上夹线”.观察下图:

根据上图,试推测曲线S:y=mx-nsinx(n>0)的“上夹线”的方程,并作适当的说明.

查看答案和解析>>

科目:高中数学 来源: 题型:

已知函数f(x)=x2-blnx在(1,2]是增函数,g(x)=x-b
x
在(0,1)为减函数.
(1)求b的值;
(2)设函数φ(x)=2ax-
1
x2
是区间(0,1]上的增函数,且对于(0,1]内的任意两个变量s、t,f(s)≥?(t)恒成立,求实数a的取值范围.

查看答案和解析>>

科目:高中数学 来源: 题型:

已知函数f(x)=cos( 2x+
π
3
)+sin2x.
(Ⅰ)求函数f(x)的最小正周期和值域;
(Ⅱ)在△ABC中,角A、B、C的对边分别为a、b、c,满足2
AC
CB
=
2
ab,c=2
2
,f(A)=
1
2
-
3
4
,求△ABC的面积S.

查看答案和解析>>

科目:高中数学 来源: 题型:

(1)已知矩阵A=
a2
1b
有一个属于特征值1的特征向量
α
=
2
-1

①求矩阵A;
②已知矩阵B=
1-1
01
,点O(0,0),M(2,-1),N(0,2),求△OMN在矩阵AB的对应变换作用下所得到的△O'M'N'的面积.
(2)已知在直角坐标系xOy中,直线l的参数方程为
x=t-3
y=
3
 t
(t为参数),在极坐标系(与直角坐标系xOy取相同的长度单位,且以原点O为极点,以x轴正半轴为极轴)中,曲线C的极坐标方程为ρ2-4ρco sθ+3=0.
①求直线l普通方程和曲线C的直角坐标方程;
②设点P是曲线C上的一个动点,求它到直线l的距离的取值范围.
(3)已知函数f(x)=|x-1|+|x+1|.
①求不等式f(x)≥3的解集;
②若关于x的不等式f(x)≥a2-a在R上恒成立,求实数a的取值范围.

查看答案和解析>>

科目:高中数学 来源: 题型:

已知函数f(x)=
a
2x
+xlnx
,g(x)=x3-x2-x-1.
(1)如果存在x,x∈[0,2],使得g(x)-g(x)≥M,求满足该不等式的最大整数M;
(2)如果对任意的s,t∈[
1
3
,2],都有f(s)≥g(t)成立,求实数a的取值范围.

查看答案和解析>>

同步练习册答案