精英家教网 > 高中数学 > 题目详情

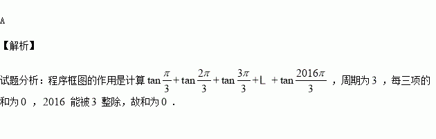
使用如图所示算法对下面一组数锯进行统计处理,则输出的结果为( )

A. B. C. D.

练习册系列答案
相关习题

科目:高中数学 来源:2015-2016学年黑龙江绥棱县一中高二6月月考数学(理)试卷(解析版) 题型:选择题

的大小关系为( )

A. B.

C. D.

查看答案和解析>>

科目:高中数学 来源:2016届辽宁省高三第四次模拟数学(文)试卷(解析版) 题型:选择题

已知点,曲线恒过定点曲线上的动点且的最小值为,则实数( )

A. B. C. D.

查看答案和解析>>

科目:高中数学 来源:2016届辽宁省高三第四次模拟数学(理)试卷(解析版) 题型:填空题

为等差数列的前项和, 其中,且,数列的前项和为,若对任意的,都有,则常数的最小值为

查看答案和解析>>

科目:高中数学 来源:2016届辽宁省高三第四次模拟数学(理)试卷(解析版) 题型:选择题

设平面,直线,集合{垂直于的平面},{垂直于的平面},{垂直于的直线},{垂直于的直线},下列四个命题中

①若,则

②若,则

③若异面,则

④若相交,则不正确的为( )

A.①② B.③④ C.①③④ D.②④

查看答案和解析>>

科目:高中数学 来源:2015-2016学年内蒙古高一下期末理数学试卷(解析版) 题型:解答题

中,角的对边分别为,向量,向量,且.

(1)求角的大小;

(2)设的中点为,且,求的最大值.

查看答案和解析>>

科目:高中数学 来源:2015-2016学年内蒙古高一下期末理数学试卷(解析版) 题型:填空题

若等差数列满足,则当 时,的前项和最大.

查看答案和解析>>

科目:高中数学 来源:2016-2017学年江西新余一中高二上学期入学考数学试卷(解析版) 题型:解答题

(正弦定理)在中,角的对边分别是,已知

(1)求的值;

(2)若角为锐角,求的值及的面积.

查看答案和解析>>

科目:高中数学 来源:2017届河南省天一大联考高三上学期段测一数学(文)试卷(解析版) 题型:解答题

.

(Ⅰ)求的解集

(Ⅱ)当时,求证.

查看答案和解析>>

同步练习册答案