精英家教网 > 高中数学 > 题目详情

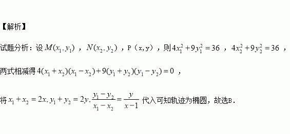
过椭圆内一点R(1,0)作动弦MN,则弦MN中点P的轨迹是( )

A.圆 B.椭圆 C.双曲线 D.抛物线

练习册系列答案
相关习题

科目:高中数学 来源:2016届福建省高三上第二次月考文科数学试卷(解析版) 题型:解答题

设函数.若曲线在点处的切线方程为

(Ⅰ)求的值;

(Ⅱ)设,若-2时,,求的取值范围.

查看答案和解析>>

科目:高中数学 来源:2015-2016学年江西省高一重点上期中数学卷(解析版) 题型:选择题

知函数f(x)=()x﹣log2x,若实数x0是方程f(x)=0的解,且0<x1<x0,则f(x1)( )

A.恒为负值 B.等于0 C.恒为正值 D.不大于0

查看答案和解析>>

科目:高中数学 来源:2015-2016学年江西省高二上期中理科数学卷(解析版) 题型:选择题

方程的曲线在同一坐标系中的示意图可能( )

查看答案和解析>>

科目:高中数学 来源:2015-2016学年江西省高二上期中文科数学试卷(解析版) 题型:选择题

曲线与曲线的( )

(A)长轴长相等 (B)短轴长相等

(C)焦距相等 (D)离心率相等

查看答案和解析>>

科目:高中数学 来源:2015-2016学年黑龙江省高一上期末数学试卷(解析版) 题型:选择题

在同一个坐标系中画出函数的部分图像,其中,则下列所给图像中可能正确的是( )

查看答案和解析>>

科目:高中数学 来源:2015-2016学年河北省高二上期中文科数学试卷(解析版) 题型:选择题

,定义,则( )

A.

B.

C.

D.

查看答案和解析>>

科目:高中数学 来源:2015-2016学年贵州省凯里市高二上期末理科数学试卷(解析版) 题型:解答题

如图,在棱长为1的正方体中,点分别是的中点.

(1)求证:

(2)求所成角的余弦值.

查看答案和解析>>

科目:高中数学 来源:2016届广西河池高中高三上第五次月考理科数学试卷(解析版) 题型:解答题

已知函数,其中

(Ⅰ)当时,求不等式的解集;

(Ⅱ)已知关于的不等式的解集为,求的值 .

查看答案和解析>>

同步练习册答案