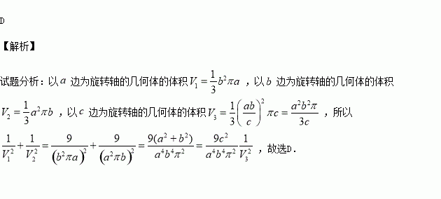
精英家教网 > 高中数学 > 题目详情

的角所对的边分别是(其中为斜边),分别以 边所在的直线为旋转轴,将旋转一周得到的几何体的体积分别是,则( )

A. B.

C. D.

练习册系列答案
相关习题

科目:高中数学 来源:2015-2016学年江西省吉安市高二上期中文科数学试卷(解析版) 题型:填空题

若圆锥的侧面积为,底面面积为,则该圆锥的体积为

查看答案和解析>>

科目:高中数学 来源:2016届北京市朝阳区高三上学期期中统一考试理科数学试卷(解析版) 题型:解答题

已知函数

(Ⅰ)当时,求函数的单调区间;

(Ⅱ)当时,证明

查看答案和解析>>

科目:高中数学 来源:2016届浙江省绍兴市高三上学期期中文科数学试卷(解析版) 题型:解答题

中,分别为内角的对边,且

(1)求

(2)若,求

查看答案和解析>>

科目:高中数学 来源:2016届浙江省绍兴市高三上学期期中理科数学试卷(解析版) 题型:填空题

已知几何体的三视图(如下图),则该几何体的体积为_________,表面积为___ __.

查看答案和解析>>

科目:高中数学 来源:2016届山西省高三10月月考理科数学试卷(解析版) 题型:选择题

已知点P为双曲线右支上一点,分别为双曲线的左右焦点,且,I为三角形的内心,若成立, 则的值为( )

A. B. C. D.

查看答案和解析>>

科目:高中数学 来源:2016届辽宁省沈阳市高三上学期期中文科数学试卷(解析版) 题型:选择题

已知向量,若,则= ( )

A.-4 B.-3 C.-2 D.-1

查看答案和解析>>

科目:高中数学 来源:2016届湖南省高三上第三次月考文数学卷(解析版) 题型:选择题

某工厂生产A、B、C三种不同型号的产品,产品的数量之比依次为3∶4∶7,现在用分层抽样

的方法抽出容量为n的样本,样本中A型号产品有15件,那么样本容量为( )

A.50 B.60 C.70 D.80

查看答案和解析>>

科目:高中数学 来源:2015-2016学年湖北孝感高中高二上学期期中文科数学试卷(解析版) 题型:选择题

下列关于概率的理解中正确的命题的个数是

①掷10次硬币出现4次正面,所以掷硬币出现正面的概率是0.4;

②某种体育彩票的中奖概率为,则买1000张这种彩票一定能中奖;

③孝感气象台预报明天孝感降雨的概率为70%是指明天孝感有70%的区域下雨,30%的区域不下雨.

A.0 B.1 C.2 D.3

查看答案和解析>>

同步练习册答案