精英家教网 > 高中数学 > 题目详情
已知f(x)=ax﹣ln(﹣x),x∈(﹣e,0),,其中e是自然常数,
a∈R.
(1)讨论a=﹣1时,f(x)的单调性、极值;
(2)求证:在(1)的条件下,
(3)是否存在实数a,使f(x)的最小值是3,如果存在,求出a的值;如果不存在,说明理由.
解:(1)∵f(x)=﹣x﹣ln(﹣x) 
∴当﹣e≤x<﹣1时,f′(x)<0,此时f(x)为单调递减
当﹣1<x<0时,f'(x)>0,此时f(x)为单调递增
∴f(x)的极小值为f(﹣1)=1
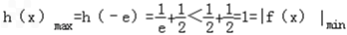
(2)∵f(x)的极小值,即f(x)在[﹣e,0)的最小值为1
∴|f(x)|min=1 令 
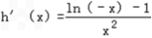
又∵ 
当﹣e≤x<0时h′(x)≤0,h(x)在[﹣e,0)上单调递减
∴ 
∴当x∈[﹣e,0)时, 
(3)假设存在实数a,使f(x)=ax﹣ln(﹣x)有最小值3,x∈[﹣e,0) 
①当 时,由于x∈[﹣e,0),则 
∴函数f(x)=ax﹣ln(﹣x)是[﹣e,0)上的增函数
∴f(x)min=f(﹣e)=﹣ae﹣1=3 解得 (舍去)
②当 时,则当 时, 
此时f(x)=ax﹣ln(﹣x)是减函数
当 时, ,此时f(x)=ax﹣ln(﹣x)是增函数
∴  解得a=﹣e2
练习册系列答案
相关习题

科目:高中数学 来源: 题型:

已知f(x)=ax+a-x(a>0且a≠1),
(1)证明函数f ( x )的图象关于y轴对称;
(2)判断f(x)在(0,+∞)上的单调性,并用定义加以证明;
(3)当x∈[1,2]时函数f (x )的最大值为
103
,求此时a的值.

查看答案和解析>>

科目:高中数学 来源: 题型:

已知f(x)=ax+b(a>0且a≠1,b为常数)的图象经过点(1,1)且0<f(0)<1,记m=
1
2
[f-1(x1)+f-1(x2)]
n=f-1(
x1+x2
2
)
(x1、x2是两个不相等的正实数),试比较m、n的大小.

查看答案和解析>>

科目:高中数学 来源: 题型:

(1)已知f(x)=ax+a-x,若f(1)=3,,求f(2)的值.
(2)设函数f(x)=log3(ax-bx),且f(1)=1,f(2)=log312.求a,b的值.

查看答案和解析>>

科目:高中数学 来源: 题型:

已知f(x)=ax(a>1),g(x)=bx(b>1),当f(x1)=g(x2)=2时,有x1>x2,则a,b的大小关系是(  )

查看答案和解析>>

科目:高中数学 来源: 题型:

(2010•新疆模拟)已知f(x)=ax-lnx,x∈(0,e],g(x)=
lnx
x
,其中e是自然对数的底,a∈R.
(Ⅰ)a=1时,求f(x)的单调区间、极值;
(Ⅱ)是否存在实数a,使f(x)的最小值是3,若存在,求出a的值,若不存在,说明理由;
(Ⅲ)在(1)的条件下,求证:f(x)>g(x)+
1
2

查看答案和解析>>

同步练习册答案