精英家教网 > 高中数学 > 题目详情
在平面直角坐标系xOy中,点P(x,y)为动点,已知点A(,0),B(,0),直线PA与PB的斜率之积为定值
(Ⅰ)求动点P的轨迹E的方程;
(Ⅱ)若F(1,0),过点F的直线l交轨迹E于M,N两点,以MN为对角线的正方形的第三个顶点恰在y轴上,求直线l的方程。
解:(Ⅰ)由题意,整理得
所以所求轨迹E的方程为
(Ⅱ)当直线l与x轴重合时,与轨迹E无交点,不合题意;
当直线l与x轴垂直时,l:x=1,此时
以MN为对角线的正方形的另外两个顶点坐标为,不合题意;
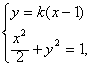
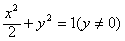
当直线l与x轴既不重合,也不垂直时,不妨设直线l:y=k(x-1)(k≠0),
M(x1,y1),N(x2,y2),MN的中点
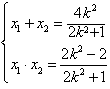
消y得(2k2+1)x2-4k2x+2k2-2=0,

所以
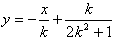
则线段MN的中垂线m的方程为
整理得直线m:
则直线m与y轴的交点
注意到以MN为对角线的正方形的第三个顶点恰在y轴上,当且仅当RM⊥RN,

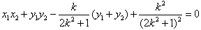
,①
,②
将②代入①解得k=±1,即直线l的方程为y=±(x-1);
综上,所求直线l的方程为x-y-1=0或x+y-1=0。
练习册系列答案
相关习题

科目:高中数学 来源: 题型:

在平面直角坐标系xoy中,已知圆心在直线y=x+4上,半径为2
2
的圆C经过坐标原点O,椭圆
x2
a2
+
y2
9
=1(a>0)
与圆C的一个交点到椭圆两焦点的距离之和为10.
(1)求圆C的方程;
(2)若F为椭圆的右焦点,点P在圆C上,且满足PF=4,求点P的坐标.

查看答案和解析>>

科目:高中数学 来源: 题型:

如图,在平面直角坐标系xOy中,锐角α和钝角β的终边分别与单位圆交于A,B两点.若点A的横坐标是
3
5
,点B的纵坐标是
12
13
,则sin(α+β)的值是
16
65
16
65

查看答案和解析>>

科目:高中数学 来源: 题型:

在平面直角坐标系xOy中,若焦点在x轴的椭圆
x2
m
+
y2
3
=1
的离心率为
1
2
,则m的值为
4
4

查看答案和解析>>

科目:高中数学 来源: 题型:

(2013•泰州三模)选修4-4:坐标系与参数方程
在平面直角坐标系xOy中,已知A(0,1),B(0,-1),C(t,0),D(
3t
,0)
,其中t≠0.设直线AC与BD的交点为P,求动点P的轨迹的参数方程(以t为参数)及普通方程.

查看答案和解析>>

科目:高中数学 来源: 题型:

(2013•东莞一模)在平面直角坐标系xOy中,已知椭圆C:
x2
a2
+
y2
b2
=1(a>b>0)
的左焦点为F1(-1,0),且椭圆C的离心率e=
1
2

(1)求椭圆C的方程;
(2)设椭圆C的上下顶点分别为A1,A2,Q是椭圆C上异于A1,A2的任一点,直线QA1,QA2分别交x轴于点S,T,证明:|OS|•|OT|为定值,并求出该定值;
(3)在椭圆C上,是否存在点M(m,n),使得直线l:mx+ny=2与圆O:x2+y2=
16
7
相交于不同的两点A、B,且△OAB的面积最大?若存在,求出点M的坐标及对应的△OAB的面积;若不存在,请说明理由.

查看答案和解析>>

同步练习册答案