精英家教网 > 高中数学 > 题目详情

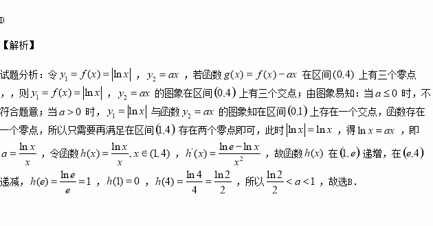
,若函数 在区间上有三个零点,则实数的取值范围是

A. B. C. D.

练习册系列答案
相关习题

科目:高中数学 来源:2016届重庆市高三上学期第三次月考理科数学试卷(解析版) 题型:解答题

(本小题满分12分)在△中,角所对的边分别为,且

(1)求的值;

(2)若边上的中线,求△的面积.

查看答案和解析>>

科目:高中数学 来源:2016届黑龙江省牡丹江市高三上学期期中理科数学试卷(解析版) 题型:填空题

如图,是圆的直径,是圆上的点,,则的值为

查看答案和解析>>

科目:高中数学 来源:2015-2016学年江西南昌二中高二上学期期中文科数学试卷(解析版) 题型:填空题

过圆上一点的切线方程: __________

查看答案和解析>>

科目:高中数学 来源:2015-2016学年江西南昌二中高二上学期期中理科数学试卷(解析版) 题型:选择题

)在圆外,则直线与圆的位置关系是

A.相切 B.相交 C.相离 D.不确定

查看答案和解析>>

科目:高中数学 来源:2016届江西省南昌市高三上第四次考试理科数学试卷(解析版) 题型:填空题

已知实数满足,则 的取值范围为

查看答案和解析>>

科目:高中数学 来源:2016届湖南省株洲市高三上期中理科数学试卷(解析版) 题型:选择题

已知定义在实数集R上的函数满足,且导函数,则不等式的解集为( )

A、 B、 C、 D、

查看答案和解析>>

科目:高中数学 来源:2016届北京市海淀区高三上学期期中考试理科数学试卷(解析版) 题型:解答题

已知函数,曲线在点(0,1)处的切线为l

(Ⅰ)若直线l的斜率为-3,求函数的单调区间;

(Ⅱ)若函数是区间[-2,a]上的单调函数,求a的取值范围.

查看答案和解析>>

科目:高中数学 来源:2016届湖南省高三上第三次月考理数学试卷(解析版) 题型:解答题

已知数列 满足

(Ⅰ)求证:数列成等差数列;

(Ⅱ)求数列的前项的和

查看答案和解析>>

同步练习册答案