精英家教网 > 高中数学 > 题目详情

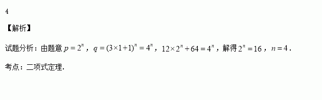
二项式的展开式的二项式系数的和为,各项系数的和为,且,则的值为 .

练习册系列答案
相关习题

科目:高中数学 来源:2014-2015学年上海市长宁区、嘉定区高三二模文科数学试卷(解析版) 题型:填空题

设变量满足约束条件的最大值为_____________.

查看答案和解析>>

科目:高中数学 来源:2014-2015学年上海市闵行区高三下学期质量调研考试(二模)文科数学试卷(解析版) 题型:填空题

已知点是半径为上的动点,线段的直径.则的取值范围为 .

查看答案和解析>>

科目:高中数学 来源:2014-2015学年上海市闵行区高三下学期质量调研考试(二模)理科数学试卷(解析版) 题型:解答题

(本题满分12分)如图,已知圆锥的底面半径为,点Q为半圆弧的中点,点为母线的中点.若直线所成的角为,求此圆锥的表面积.

查看答案和解析>>

科目:高中数学 来源:2014-2015学年上海市闵行区高三下学期质量调研考试(二模)理科数学试卷(解析版) 题型:填空题

函数在区间内无零点,则实数的范围是 .

查看答案和解析>>

科目:高中数学 来源:2014-2015学年上海市闵行区高三下学期质量调研考试(二模)理科数学试卷(解析版) 题型:填空题

若复数满足(其中为虚数单位),则

查看答案和解析>>

科目:高中数学 来源:2014-2015学年山东省文登市高三第二次模拟考试文科数学试卷(解析版) 题型:解答题

已知.

(1)在中,若,求的大小;

(2)若,将图像上所有点的纵坐标不变,横坐标伸长到原来的倍,得到的图像,求的单调减区间.

查看答案和解析>>

科目:高中数学 来源:2014-2015学年山东省文登市高三第二次模拟考试理科数学试卷(解析版) 题型:解答题

已知椭圆的中心在原点,焦点在轴上,它的一个顶点恰好经过抛物线的准线,且经过点.

(1)求椭圆的方程;

(2)若直线的方程为.是经过椭圆左焦点的任一弦,设直线与直线相交于点,记的斜率分别为.试探索之间有怎样的关系式?给出证明过程.

查看答案和解析>>

科目:高中数学 来源:2014-2015学年江苏高考南通密卷三数学试卷(解析版) 题型:填空题

某单位有三部门,其人数比例为3∶4∶5,现欲用分层抽样方法抽调n名志愿者支援西部大开发 .若在部门恰好选出了6名志愿者,那么n=________.

查看答案和解析>>

同步练习册答案