精英家教网 > 高中数学 > 题目详情

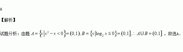
设集合,则( )

A.(0,1) B. C. D.

练习册系列答案
相关习题

科目:高中数学 来源:2016届内蒙古赤峰二中高三上12月月考文科数学试卷(解析版) 题型:解答题

已知四棱锥,其中的中点.

(Ⅰ)求证:∥面

(Ⅱ)求证:面

(Ⅲ)求四棱锥的体积.

查看答案和解析>>

科目:高中数学 来源:2015-2016学年山东省高二上学情调查理科数学卷(解析版) 题型:选择题

命题“”的否定是( )

A.

B.

C.

D.

查看答案和解析>>

科目:高中数学 来源:2016届河北省高三上学期期中考试理科数学试卷(解析版) 题型:选择题

在数列{an}中,若对任意的n均有an+an+1+an+2为定值(n∈N*),且,则数列{an}的前100项的和S100=( )

A.132 B.299 C.68 D.99

查看答案和解析>>

科目:高中数学 来源:2015-2016学年湖南师大附中高二上第二次段测理科数学卷(解析版) 题型:选择题

给出以下命题①若a>b>0,d<c<0,;②如果,则关于x的实系数二次方程中至少有一个方程有实根;③若,则;④当时,无最大值.其中真命题的序号是( )

A.①② B.②③ C.①②③ D.①③④

查看答案和解析>>

科目:高中数学 来源:2015-2016学年福建省高一上第二次月考数学试卷(解析版) 题型:选择题

函数)的图象恒过点为( )

A. B. C. D.

查看答案和解析>>

科目:高中数学 来源:2016届浙江省临海市高三上第三次统练文科数学试卷(解析版) 题型:选择题

中,已知是斜边上的动点(除端点外),设到两直角边的距离分别为,则的最小值为( )

A. B. C. D.

查看答案和解析>>

科目:高中数学 来源:2015-2016学年河北省邯郸市等校高二上学期期中理科数学试卷(解析版) 题型:填空题

若实数满足,则目标函数的取值范围是_______.

查看答案和解析>>

科目:高中数学 来源:2016届重庆市高三12月月考理科数学试卷(解析版) 题型:解答题

已知数列的前n项和为,且

(1)求出数列的通项公式;

(2)设数列满足,若对于任意正整数n都成立,求实数t的取值范围.

查看答案和解析>>

同步练习册答案