精英家教网 > 高中数学 > 题目详情
已知等比数列{an}中,a6-2a3=2,a5-2a2=1,则等比数列{an}的公比是( )
A.-1
B.2
C.3
D.4
【答案】分析:根据等比数列的通项公式化简已知的两等式,得到关于首项和公比的两个方程,分别记作①和②,把①提取q后,得到的方程记作③,把②代入③即可求出q的值.
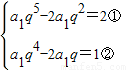
解答:解:由a6-2a3=2,a5-2a2=1得:

由①得:q(a1q4-2a1q)=2③,
把②代入③得:q=2.
故选B
点评:此题考查学生灵活运用等比数列的通项公式化简求值,掌握等比数列的性质,是一道基础题.
练习册系列答案
相关习题

科目:高中数学 来源: 题型:

5、已知等比数列{an}的前n项和为Sn,公比q≠1,若S5=3a4+1,S4=2a3+1,则q等于(  )

查看答案和解析>>

科目:高中数学 来源: 题型:

已知等比数列{an}中,a2=9,a5=243.
(1)求{an}的通项公式;
(2)令bn=log3an,求数列{
1bnbn+1
}的前n项和Sn

查看答案和解析>>

科目:高中数学 来源: 题型:

已知等比数列{an}满足a1•a7=3a3a4,则数列{an}的公比q=
3
3

查看答案和解析>>

科目:高中数学 来源: 题型:

已知等比数列{an}中a1=64,公比q≠1,且a2,a3,a4分别为某等差数列的第5项,第3项,第2项.
(Ⅰ)求数列{an}的通项公式;
(Ⅱ)设bn=log2an,求数列{|bn|}的前n项和Tn

查看答案和解析>>

科目:高中数学 来源: 题型:

已知等比数列{an}中,a3+a6=36,a4+a7=18.若an=
12
,则n=
9
9

查看答案和解析>>

同步练习册答案