精英家教网 > 高中数学 > 题目详情

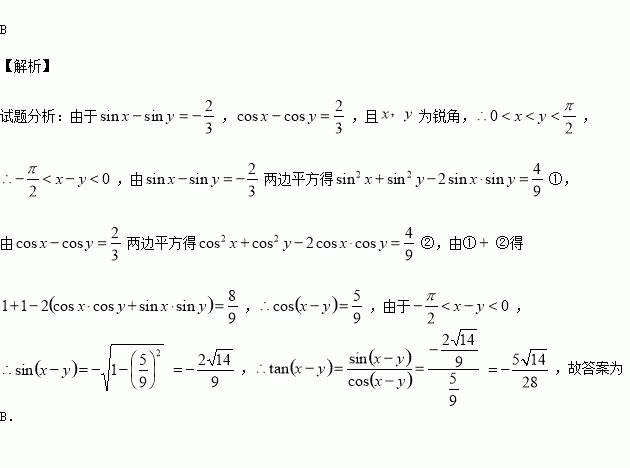
已知,且为锐角,则( )

A. B.- C.± D.±

练习册系列答案
相关习题

科目:高中数学 来源:2015-2016学年湖北孝感高中高二上学期期中文科数学试卷(解析版) 题型:选择题

“事件A,B互斥”是“事件A,B对立”的

A.充分而不必要条件 B.必要而不充分条件

C.充要条件 D.既不充分也不必要条件

查看答案和解析>>

科目:高中数学 来源:2016届贵州省高三上学期第三次月考理科数学试卷(解析版) 题型:解答题

中,角所对的边为,且

(1)求角

(2)若,求的周长的最大值.

查看答案和解析>>

科目:高中数学 来源:2015-2016学年浙江慈溪中学高一1-3班上期中数学卷(解析版) 题型:解答题

已知函数),相邻两对称轴之间的距离为

(1)求函数的解析式;

(2)把函数的图象向右平移个单位,再纵坐标不变横坐标缩短到原来的后得到函数的图象,当 时,求函数的单调递增区间.

查看答案和解析>>

科目:高中数学 来源:2015-2016学年山东省高一上学期期中考试数试卷(解析版) 题型:填空题

函数的定义域是

查看答案和解析>>

科目:高中数学 来源:2015-2016学年湖南衡阳八中高二上学期期中文科数学试卷(解析版) 题型:填空题

已知曲线,点是曲线上的点,曲线在点处的切线是轴相交于点.若原点到切线的距离与线段的长度之比取得最大值,则点的坐标为__________.

查看答案和解析>>

科目:高中数学 来源:2015-2016学年黑龙江哈尔滨师大附中高二上期中文数学卷(解析版) 题型:选择题

已知斜率为的直线与双曲线相交于两点,且的中点为,则双曲线的渐近线方程为( )

A. B. C. D.

查看答案和解析>>

科目:高中数学 来源:2015-2016学年河北石家庄二中高一上学期期中数学试卷(解析版) 题型:选择题

幂函数的图象过点,则 为( )

A、 B、 C、 D、

查看答案和解析>>

科目:高中数学 来源:2016届河南省郑州市高三上学期联考理科数学试卷(解析版) 题型:填空题

若随机变量,且,则____.

查看答案和解析>>

同步练习册答案