精英家教网 > 高中数学 > 题目详情

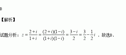
是虚数单位),则( )

A. B. C. D.

练习册系列答案
相关习题

科目:高中数学 来源:2016届宁夏高三五模考试数学(理)试卷(解析版) 题型:解答题

在直角坐标系中,圆的参数方程为为参数),以为极点轴的非负半轴为极轴建立极坐标系.

(1)求圆的极坐标方程;

(2)直线的极坐标方程是,射线与圆的交点为,与直线的交点为,求线段的长.

查看答案和解析>>

科目:高中数学 来源:2016届湖南长沙市高三月考八数学(文)试卷(解析版) 题型:选择题

已知某锥体的正视图和侧视图如图,其体积为,则该锥体的俯视图可以是( )

查看答案和解析>>

科目:高中数学 来源:2016届湖南长沙市高三月考八数学(理)试卷(解析版) 题型:填空题

若圆轴交于两点,且,则实数的值为

查看答案和解析>>

科目:高中数学 来源:2016届湖南长沙市高三月考八数学(理)试卷(解析版) 题型:选择题

如图,一竖立在水平地面上的圆锥形物体的母线长为,一只小虫从圆锥的底面圆上的点出发,绕圆锥表面爬行一周后回到点处,若该小虫爬行的最短路程为,则圆锥底面圆的半径等于( )

A. B. C. D.

查看答案和解析>>

科目:高中数学 来源:2017届湖北黄石市高三9月调研数学(文)试卷(解析版) 题型:解答题

已知椭圆的左、右焦点分别为,点在椭圆上.

(1)求椭圆的标准方程;

(2)是否存在斜率为2的直线,使得当直线与椭圆有两个不同交点时,能在直线上找到一点,在椭圆上找到一点,满足?若存在,求出直线的方程;若不存在,说明理由.

查看答案和解析>>

科目:高中数学 来源:2017届湖北黄石市高三9月调研数学(文)试卷(解析版) 题型:填空题

某品牌洗衣机专卖店在国庆期间举行了八天的促销活动,每天的销量(单位:台)茎叶图如右,则销售量的中位数是 ___________.

查看答案和解析>>

科目:高中数学 来源:2017届山东枣庄三中高三9月质检数学(文)试卷(解析版) 题型:解答题

已知命题关于的不等式的解集是,命题函数的定义域为.

(1)如果为真命题,求实数的取值范围;

(2)如果为真命题, 为假命题, 求实数的取值范围.

查看答案和解析>>

科目:高中数学 来源:2017届浙江温州市高三8月模拟考试数学试卷(解析版) 题型:解答题

如图,四棱锥中,,点在底面上的射影为线段的中点

(1)若为棱的中点,求证:平面

(2)求二面角的平面角的余弦值.

查看答案和解析>>

同步练习册答案