精英家教网 > 高中数学 > 题目详情

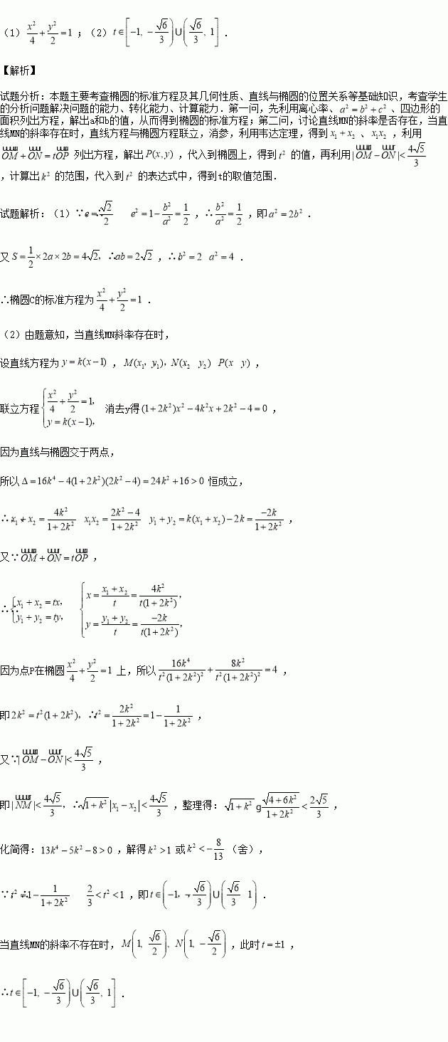
(本小题满分12分)已知椭圆C:的离心率为,连接椭圆四个顶点形成的四边形面积为4

(1)求椭圆C的标准方程;

(2)过点A(1,0)的直线与椭圆C交于点M, N,设P为椭圆上一点,且O为坐标原点,当时,求t的取值范围.

练习册系列答案
相关习题

科目:高中数学 来源:2015-2016学年湖北省武汉市硚口区高二9月调研考试文科数学试卷(解析版) 题型:填空题

用某种型号的钢板焊接一个长为1m的无盖长方体容器(接缝忽略不计他),要求其容积为2,则至少需要这种型号的钢板__________

查看答案和解析>>

科目:高中数学 来源:2015-2016学年湖南省高一上学期实验班招生数学试卷(解析版) 题型:选择题

直线l:y=px(p是不等于0的整数)与直线y=x+10的交点恰好是整点(横坐标和纵坐标都是整数),那么满足条件的直线l有 ( )

(A)6条 (B)7条 (C)8条 (D)无数条

查看答案和解析>>

科目:高中数学 来源:2015-2016学年河北衡水冀州中学高二上学期第一次月考文科数学试卷(解析版) 题型:解答题

(12分)已知向量 =(cosωx,1), =(2sin(ωx+),﹣1)(其中≤ω≤),

函数f(x)=,且f(x)图象的一条对称轴为x=

(1)求f(π)的值;

(2)若f()=,f()=,且

求cos(α﹣β)的值.

查看答案和解析>>

科目:高中数学 来源:2015-2016学年河北衡水冀州中学高二上学期第一次月考理科数学试卷(解析版) 题型:填空题

已知三棱锥S﹣ABC,所有顶点都在球O的球面上,侧棱SA⊥平面ABC,SA=AC=2,BC=2,∠A=90°,则球O的表面积为

查看答案和解析>>

科目:高中数学 来源:2016届云南师范大学附属中学高考适应性月考卷一理科数学试卷(解析版) 题型:解答题

(本小题满分10分)【选修4一1:几何证明选讲】

如图,已知圆的两条弦AB,CD,延长AB,CD交于圆外一点E,过E作AD的平行线交CB的延长线于F,过点F作圆的切线FG,G为切点.求证:

(1)△EFC∽△BFE;

(2)FG=FE.

查看答案和解析>>

科目:高中数学 来源:2015-2016学年河北邯郸曲周县一中高二上学期第二次月考理科数学卷(解析版) 题型:解答题

(本小题满分12分)已知椭圆上一点M的纵坐标为2.

(1)求M的横坐标;

(2)求过点M且与共焦点的椭圆方程.

查看答案和解析>>

科目:高中数学 来源:2015-2016学年辽宁沈阳东北育才学校高二上学期第一次作业数学试卷(解析版) 题型:填空题

已知函数,其中实数随机选自区间,则对,都有恒成立的概率是

查看答案和解析>>

科目:高中数学 来源:2016届吉林省长春市高三质量监测理科数学试卷(解析版) 题型:解答题

(本小题满分10分) 选修4—5:不等式选讲.

已知函数.

(1)若不等式恒成立,求的取值范围;

(2)当时,求不等式的解集.

查看答案和解析>>

同步练习册答案