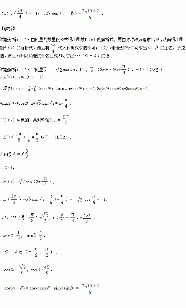
(12分)已知向量
=(
cosωx,1),
=(2sin(ωx+
),﹣1)(其中
≤ω≤
),
函数f(x)=
•
,且f(x)图象的一条对称轴为x=
.
(1)求f(
π)的值;
(2)若f(
)=
,f(
﹣
)=
,且
,
求cos(α﹣β)的值.
科目:高中数学 来源:2015-2016学年吉林省高二上学期第一次月考文科数学试卷(解析版) 题型:解答题
如图是一个几何体的三视图,其中正视图与左视图都是全等的腰为
的等腰三角形,俯视图是边长为2的正方形,(1)画出该几何体;(2)求此几何体的表面积与体积.
![]()
查看答案和解析>>
科目:高中数学 来源:2015-2016学年重庆市高二上学期第一次月考数学试卷(解析版) 题型:填空题
如图,二面角
的大小是45°,线段
.
,
与
所成的角为30°.则
与平面
所成的角的正弦值是 .
![]()
查看答案和解析>>
科目:高中数学 来源:2015-2016学年河南省高一上期第一次月考数学试卷(解析版) 题型:选择题
以下四个对应:
![]()
;
![]()
其中能构成从A到B的映射的有( )个
A.1 B 2 C 3 D 4
查看答案和解析>>
科目:高中数学 来源:2015-2016学年河北邢台市高二上学期第一次月考理科数学试卷(解析版) 题型:解答题
(12分) 如图(1)所示,在梯形
中,
,
,且
,如图(2)沿
将四边形
折起,使得平面
与平面
垂直,
为
的中点.
![]()
(1) 求证:平面
平面
;
(2) 求三棱锥
的体积.
(3)求二面角
的正切值
查看答案和解析>>
科目:高中数学 来源:2015-2016学年河北衡水冀州中学高二上学期第一次月考文科数学试卷(解析版) 题型:选择题
在△ABC中,若tanAtanB>1,则△ABC是( )
A.锐角三角形 B.直角三角形 C.钝角三角形 D.无法确定
查看答案和解析>>
科目:高中数学 来源:2016届云南师范大学附属中学高考适应性月考卷一文科数学试卷(解析版) 题型:解答题
(本小题满分12分)已知椭圆C:
的离心率为
,连接椭圆四个顶点形成的四边形面积为4
.
(1)求椭圆C的标准方程;
(2)过点A(1,0)的直线与椭圆C交于点M, N,设P为椭圆上一点,且
O为坐标原点,当
时,求t的取值范围.
查看答案和解析>>
科目:高中数学 来源:2015-2016学年甘肃省张掖市高二上学期10月月考理科数学试卷(解析版) 题型:解答题
(本小题满分12分)已知
是一个等差数列,且
。
(1)求
的通项
;
(2)求
的前
项和
的最大值。
查看答案和解析>>
科目:高中数学 来源:2016届江西省名校学术联盟高三第一次调研一理科数学试卷(解析版) 题型:选择题
运行如下程序框图:
![]()
若输出的的
值为12,则判断框中
的值可以是
A.2 B.3 C.4 D.5
查看答案和解析>>
湖北省互联网违法和不良信息举报平台 | 网上有害信息举报专区 | 电信诈骗举报专区 | 涉历史虚无主义有害信息举报专区 | 涉企侵权举报专区
违法和不良信息举报电话:027-86699610 举报邮箱:58377363@163.com