精英家教网 > 高中物理 > 题目详情
如图所示,一小球从A点以某一水平向右的初速度出发,沿水平直线轨道运动到B点后,进入半径R=10cm的光滑竖直圆形轨道,圆形轨道间不相互重叠,即小球离开圆形轨道后可继续向C点运动,C点右侧有一壕沟,CD两点的竖直高度h=0.8m,水平距离s=1.2m,水平轨道AB长为L1=1m,BC长为L2=3m.小球与水平轨道间的动摩擦因数μ=0.2,重力加速度g=10m/s2。则:
(1)若小球恰能通过圆形轨道的最高点,求小球在A点的初速度?
(2)若小球既能通过圆形轨道的最高点,又不掉进壕沟,求小球在A点的初速度的范围是多少?
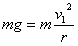
解:(1)对最高点受力分析,应用牛顿第二定律得:  
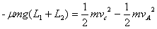
从A到最高点应用动能定理得:  
则A点的速度为3m/s
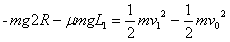
(2)C到D的运动时间:    
C点的速度至少为:    
到C点速度为0  
由第一问恰好过最高点时A点的速度也为3m/s可知,能保证不掉壕沟也能保证过最高点了
则从A到D应用动能定理    
则A 的速度至少为5m/s或者是3m/s-4m/s
练习册系列答案
相关习题

科目:高中物理 来源: 题型:

如图所示,一小球从A点由静止开始沿斜面做匀变速直线运动,若到达B点时速度为v,到达C点时速度为2v,则AB:BC等于(  )

查看答案和解析>>

科目:高中物理 来源: 题型:

(2010?平顶山模拟)如图所示,一小球从A点以某一水平向右的初速度出发,沿水平直线轨道运动到B点后,进入半径R=10cm的光滑树枝圆形轨道,圆形轨道间不相互重叠,即小球离开圆形轨道后可继续向C点右侧有一壕沟,C、D两点的竖直高度h=0.8cm,水平距离s=1.2cm,水平轨道AB长为L1=1m,BC长为L2=3m.小球与水平轨道间的动摩擦因数u=0.2,重力加速度g=10m/s2,重力加速度g=10m/s2,则:
(1)若小球恰能通过圆形轨道的最高点,求小球在A点的初速度?
(2)若小球既能通过圆形轨道的最高点,又不能掉进壕沟,求小球在A点的初速度的范围是多少?

查看答案和解析>>

科目:高中物理 来源: 题型:

如图所示,一小球从A点以某一水平向右的初速度出发,沿水平直线轨道运动到B点后,进入半径R=10cm的光滑竖直圆形轨道,圆形轨道间不相互重叠,即小球离开圆形轨道后可继续向C点运动,C点右侧有一壕沟,CD两点的竖直高度h=0.8m,水平距离s=1.2m,水平轨道AB长为L1=1m,BC长为L2=3m,小球与水平轨道间的动摩擦因数μ =0.2,重力加速度g=10m/s2,求: (1)若小球恰能通过圆形轨道的最高点,求小球在A点的初速度?(2)若小球既能通过圆形轨道的最高点,又不掉进壕沟,求小球在A点的初速度的范围是多少?

查看答案和解析>>

科目:高中物理 来源:2014届安徽省高三第一学期段一考试物理试卷(解析版) 题型:选择题

如图所示,一小球从A点由静止开始沿斜面向下做匀变速直线运动,若到达B点时速度为v,到达C点时速度为2v,则xAB∶xBC等于   (  )

A.1∶1    B.1∶2    C.1∶3    D.1∶4

 

查看答案和解析>>

科目:高中物理 来源:2012-2013学年重庆市九校联盟高高三上学期期末考试物理试卷(解析版) 题型:计算题

(17分)如图所示,一小球从A点以某一水平向右的初速度出发,沿水平直线轨道运动到B点后,进入半径的光滑竖直圆形轨道,圆形轨道间不相互重叠,即小球离开圆形轨道后可继续向C点运动,C点右侧有一壕沟,C、D两点的竖直高度,水平距离,水平轨道AB长为,BC长为,小球与水平轨道间的动摩擦因数,重力加速度.求:

(1)若小球恰能通过圆形轨道的最高点,求小球在A点的初速度?

(2)若小球既能通过圆形轨道的最高点,又不掉进壕沟,求小球在A点的初速度的范围是多少?

 

查看答案和解析>>

同步练习册答案