精英家教网 > 高中物理 > 题目详情
如图所示,两木块的质量分别为m1和m2,两轻质弹簧的劲度系数分别为k1和k2,整个系统处于平衡状态(弹簧k2与地面不拴接,其它接触处均为栓接),现缓慢的向上提上面的木块m1,直到下面的弹簧刚好离开地面,求在这个过程中两木块移动的距离分别为多少?
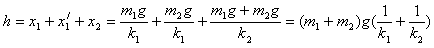
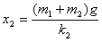
解:分析整体
      在初始状态 
      上升的距离为
      分析初始状态的 
     
      分析末状态时的 
     
      所以上升的距离为h
练习册系列答案
相关习题

科目:高中物理 来源: 题型:

如图所示,两木块的质量分别为m1和m2,两轻质弹簧的劲度系数分别为k1和k2,上面木块压在上面的弹簧上(但不栓接),整个系统处于平衡状态,现缓慢向上提上面的木块,直到它刚离开上面弹簧,求在这过程中下面木块移动的距离.

查看答案和解析>>

科目:高中物理 来源: 题型:

如图所示,两木块的质量分别为m1和m2,两轻质弹簧的劲度系数分别为k1和k2,两弹簧与两木块均连接在一起,整个系统处于平衡状态.现缓慢向上提上面弹簧的上端A,直到下面的木块m2刚离开地面.在此过程中上面弹簧的上端A移动的距离为(  )

查看答案和解析>>

科目:高中物理 来源: 题型:

如图所示,两木块的质量分别为m1和m2,两轻质弹簧的劲度系数分别为k1和k2,整个系统处于平衡状态,则k1,k2两轻质弹簧的形变量大小分别为(  )

查看答案和解析>>

科目:高中物理 来源: 题型:

精英家教网如图所示,两木块的质量分别为m1和m2,两轻质弹簧的度系数分别为k1的k2,上面木块压在上面的弹簧上(但不拴接),整个系统处于平衡状态.现缓慢向上提上面的木块,直到它刚离开上面弹簧.在这个过程中两木块m1和m2移动的距离为(  )
A、
m1g
k1
m1g+m2g
k2
B、
m1g
k1
+
m1g
k2
m1g
k1
C、
m1g
k1
+
m1g
k2
m1g
k2
D、
m1g+m2g
k2
m1g
k2

查看答案和解析>>

科目:高中物理 来源: 题型:

精英家教网如图所示,两木块的质量分别为m1和m2,两轻质弹簧的劲度系数分别为k1和k2,上面的木块压在上面的弹簧上(但不拴接),整个系统处于平衡状态.现缓慢地向上提上面的木块,直到它刚离开上面的弹簧,求:
(1)m1离开弹簧后,下面弹簧的压缩量;
(2)这个过程中上面木块移动的距离.

查看答案和解析>>

同步练习册答案