精英家教网 > 高中物理 > 题目详情

一列横波在x轴上传播着,在t1=0和t2=0.005s时的波形曲线如图所示.(1)由图中读出波的振幅和波长.(2)设周期大于(t2-t1),如果波向右传,波速多大?如果波向左传,波速又多大?(3)设周期小于(t2-t1].并且波速为6000m/s,求波的传播方向.

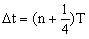
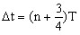
(1)0.2m,8m(2)右传:在Δt时间内波传播距离2m,波速为400m/s;左传:在Δt时间内波传播距离6m,波速为1200m/s(3)由于Δt>T,故若左传,则;若右传,则,且n>1,由v=λ/T可得n值,计算结果右传时n为非整数,左传时n为整数,故该情况为左传.

练习册系列答案
相关习题

科目:高中物理 来源: 题型:

(2011?静安区二模)一列横波在x轴上传播,在某时刻波形图如图所示,已知此时质点E的运动方向向下,则(  )

查看答案和解析>>

科目:高中物理 来源: 题型:

一列横波在x轴上传播,a、b是x轴上相距Sab=6m的两质点.t=0时,b点正好到达最高点,且b点到x轴的距离为2cm,而此时a点恰好经过平衡位置向下运动,已知这列波的频率为25Hz.
(1)求经过时间1s,a质点运动的路程;
(2)设a、b在x轴上的距离大于一个波长而小于两个波长,求该列横波的波速.
(3)若该列横波由a向b方向传播,且a、b在x轴上的距离大于一个波长而小于两个波长,a的平衡位置在x=0处,试画出a、b之间t=0.01s时刻的波形图.

查看答案和解析>>

科目:高中物理 来源: 题型:

一列横波在X轴上传播,t时刻与t+0.4s时刻在X轴上-3m~3m的区间内的波形图如图所示,由图可知(  )

查看答案和解析>>

科目:高中物理 来源: 题型:

一列横波在x轴上传播,图甲为t=0.2s时的波动图象,图乙为波源O的振动图象.则下列说法正确的是(  )

查看答案和解析>>

科目:高中物理 来源: 题型:

精英家教网一列横波在x轴上传播,频率为5Hz,某时刻的波形如图所示,其中xA=8cm,xB=22cm.从此时刻起,欲使质点B的运动状态与质点A在图示时刻的运动状态完全相同,则至少要经过的时间可能是(  )
A、0.06sB、0.10sC、0.14sD、0.26s

查看答案和解析>>

同步练习册答案