Ôڹ⻬¾øÔµµÄË®Æ½ÃæÉÏ£¬³¤Îª2LµÄ¾øÔµÇáÖÊϸ¸ËµÄÁ½¶Ë¸÷Á¬½ÓÒ»¸öÖÊÁ¿¾ùΪmµÄ´øµçСÇòAºÍB£¬AÇòµÄ´øµçÁ¿Îª£«2q£¬BÇòµÄ´øµçÁ¿Îª£­3q£¨¿ÉÊÓΪÖʵ㣬Ҳ²»¿¼ÂÇÁ½Õß¼äÏ໥×÷ÓõĿâÂØÁ¦£©¡£ÏÖÈÃA´¦ÓÚÈçͼËùʾµÄÓнçÔÈÇ¿µç³¡ÇøÓòMPQNÄÚ£¬ÒÑÖªÐéÏßMPλÓÚϸ¸ËµÄÖд¹Ïߣ¬MPºÍNQµÄ¾àÀëΪ4L£¬ÔÈÇ¿µç³¡µÄ³¡Ç¿´óСΪE£¬·½ÏòˮƽÏòÓÒ¡£ÊÍ·Å´øµçϵͳ£¬ÈÃA¡¢B´Ó¾²Ö¹¿ªÊ¼Ô˶¯£¨ºöÂÔСÇòÔ˶¯ÖÐËù²úÉúµÄ´Å³¡Ôì³ÉµÄÓ°Ï죩¡£Çó£º
£¨1£©Ð¡ÇòA¡¢BÔ˶¯¹ý³ÌÖеÄ×î´óËÙ¶È£»
£¨2£©´øµçϵͳ´Ó¿ªÊ¼Ô˶¯µ½ËٶȵÚÒ»´ÎΪÁãËùÐèµÄʱ¼ä£»
£¨3£©´øµçϵͳÔ˶¯¹ý³ÌÖУ¬BÇòµçÊÆÄÜÔö¼ÓµÄ×î´óÖµ¡£
½â£º£¨1£©´øµçϵͳ¿ªÊ¼Ô˶¯ºó£¬ÏÈÏòÓÒ¼ÓËÙÔ˶¯£»µ±B½øÈëµç³¡ÇøÊ±£¬¿ªÊ¼×ö¼õËÙÔ˶¯¡£¹ÊÔÚB¸Õ½øÈëµç³¡Ê±£¬ÏµÍ³¾ßÓÐ×î´óËÙ¶È
ÉèB½øÈëµç³¡Ç°µÄ¹ý³ÌÖУ¬ÏµÍ³µÄ¼ÓËÙ¶ÈΪa1£¬ÓÉÅ£¶ÙµÚ¶þ¶¨ÂÉ£º2Eq£½2ma1
B¸Õ½øÈëµç³¡Ê±£¬ÏµÍ³µÄËÙ¶ÈΪvm£¬ÓÉvm2£½2a1L
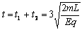
¿ÉµÃvm£½
£¨2£©µ±A¸Õ»¬µ½Óұ߽çʱ£¬µç³¡Á¦¶Ôϵͳ×ö¹¦ÎªW1£½2Eq¡Á3L£«£¨-3Eq¡Á2L£©£½0
¹Êϵͳ²»ÄÜ´ÓÓÒ¶Ë»¬³ö£¬A¸Õ»¬µ½Óұ߽çʱËٶȸպÃΪÁã
ÉèB´Ó¾²Ö¹µ½¸Õ½øÈëµç³¡µÄʱ¼äΪt1£¬Ôò
ÉèB½øÈëµç³¡ºó£¬ÏµÍ³µÄ¼ÓËÙ¶ÈΪa2£¬ÓÉÅ£¶ÙµÚ¶þ¶¨ÂÉ
ϵͳ×öÔȼõËÙÔ˶¯£¬¼õËÙËùÐèʱ¼äΪt2£¬ÔòÓÐ
ϵͳ´Ó¿ªÊ¼Ô˶¯µ½ËٶȵÚÒ»´ÎΪÁãËùÐèµÄʱ¼äΪ
£¨3£©µ±´øµçϵͳËٶȵÚÒ»´ÎΪÁ㣬¼´AÇ¡ºÃµ½´ïÓұ߽çNQʱ£¬B¿Ë·þµç³¡Á¦×öµÄ¹¦×î¶à£¬BÔö¼ÓµÄµçÊÆÄÜ×î¶à£¬´ËʱBµÄλÖÃÔÚPQµÄÖе㴦
ËùÒÔBµçÊÆÄÜÔö¼ÓµÄ×î´óÖµ¡÷W1£½3Eq¡Á2L£½6EqL
Á·Ï°²áϵÁдð°¸
Ïà¹ØÏ°Ìâ

¿ÆÄ¿£º¸ßÖÐÎïÀí À´Ô´£º ÌâÐÍ£º

Ôڹ⻬¾øÔµµÄË®Æ½ÃæÉÏ£¬Óó¤Îª2LµÄ¾øÔµÇá¸ËÁ¬½ÓÁ½¸öÖÊÁ¿¾ùΪmµÄ´øµçСÇòAºÍB£®AÇòµÄ´øµçÁ¿Îª+2q£¬BÇòµÄ´øµçÁ¿Îª-3q£¬×é³ÉÒ»´øµçϵͳ£¬ÈçͼËùʾ£®ÐéÏßMPΪABÁ½ÇòÁ¬ÏߵĴ¹Ö±Æ½·ÖÏߣ¬ÐéÏßNQÓëMPƽÐÐÇÒÏà¾à4L£®×î³õAºÍB·Ö±ð¾²Ö¹ÓÚÐéÏßMPµÄÁ½²à£¬¾àMPµÄ¾àÀë¾ùΪL£¬ÇÒAÇò¾àÐéÏßNQµÄ¾àÀëΪ3L£®ÈôÊÓСÇòΪÖʵ㣬²»¼ÆÇá¸ËµÄÖÊÁ¿£¬ÔÚÐéÏßMP£¬NQ¼ä¼ÓÉÏˮƽÏòÓÒµÄÔÈÇ¿µç³¡Eºó£¬Ôò´øµçϵͳ´Ó¿ªÊ¼Ô˶¯µ½ËٶȵÚÒ»´ÎΪÁãBÇòµçÊÆÄܵı仯Á¿£¨¡¡¡¡£©

²é¿´´ð°¸ºÍ½âÎö>>

¿ÆÄ¿£º¸ßÖÐÎïÀí À´Ô´£º ÌâÐÍ£º

¾«Ó¢¼Ò½ÌÍøÈçͼËùʾ£¬Ôڹ⻬¾øÔµµÄË®Æ½ÃæÉÏÓÐÒ»¸öÓÃÒ»¸ù¾ùÔȵ¼ÌåΧ³ÉµÄÕý·½ÐÎÏß¿òabcd£¬Æä±ß³¤ÎªL£¬×ܵç×èΪR£¬·ÅÔڴŸÐӦǿ¶ÈΪB£®·½ÏòÊúÖ±ÏòϵÄÔÈÇ¿´Å³¡µÄ×ó±ß£¬Í¼ÖÐÐéÏßMNΪ´Å³¡µÄ×ó±ß½ç£®Ïß¿òÔÚºãÁ¦×÷ÓÃÏÂÏòÓÒÔ˶¯£¬ÆäÖÐab±ß±£³ÖÓëMNƽÐУ®µ±Ïß¿òÒÔËÙ¶Èv0½øÈë´Å³¡ÇøÓòʱ£¬ËüÇ¡ºÃ×öÔÈËÙÔ˶¯£¬Çó£º
£¨1£©Ïß¿ò¸Õ½øÈë´Å³¡Ê±ab±ß²úÉúµÄ¸ÐÓ¦µç¶¯ÊƵĴóСΪE£»
£¨2£©ÔÚÏß¿ò½øÈë´Å³¡µÄ¹ý³ÌÖÐa¡¢bÁ½µãµÄµçÊÆ²î£»
£¨3£©ÔÚÏß¿ò½øÈë´Å³¡µÄ¹ý³ÌÖкãÁ¦Ëù×öµÄ¹¦£®

²é¿´´ð°¸ºÍ½âÎö>>

¿ÆÄ¿£º¸ßÖÐÎïÀí À´Ô´£º ÌâÐÍ£º

¾«Ó¢¼Ò½ÌÍøÈçͼËùʾ£¬Ôڹ⻬¾øÔµµÄË®Æ½ÃæÉϹ̶¨Á½¸öµÈÁ¿¸ºµãµçºÉAºÍB£¬OµãΪABÁ¬ÏßµÄÖе㣬C¡¢DΪABÁ¬ÏßÉϹØÓÚ0µã¶Ô³ÆµÄÁ½¸öµã£¬ÇÒCO=OD=L£®Ò»´øÕýµçµÄ¿ÉÊÓΪµãµçºÉµÄСÇòÒÔ³õËÙ¶Èv£®´ÓCµãÔ˶¯µ½Dµã£®ÉèOµãµÄµçÊÆ?0=0£¬È¡CµãÎª×ø±êÔ­µã£¬ÏòÓÒΪxÖáµÄÕý·½Ïò£¬ÔÚÏÂÁÐÖйØÓÚСÇòµÄµçÊÆÄÜEP¡¢Ð¡ÇòµÄ¶¯ÄÜEK¡¢µçÊÆ?¡¢µç³¡Ç¿¶ÈEÓëСÇòÔ˶¯µÄÎ»ÒÆx±ä»¯µÄͼÏ󣬿ÉÄÜÕýÈ·µÄÊÇ£¨¡¡¡¡£©

²é¿´´ð°¸ºÍ½âÎö>>

¿ÆÄ¿£º¸ßÖÐÎïÀí À´Ô´£º ÌâÐÍ£º

¾«Ó¢¼Ò½ÌÍøÈçͼËùʾ£¬Ôڹ⻬¾øÔµµÄË®Æ½ÃæÉÏ£¬ÓÐÒ»¾²Ö¹ÔÚAµãÖÊÁ¿Îªm=1¡Á10-3kg¡¢´øÕýµçµÄСÇò£¬ÏÖ¼Óһˮƽ·½ÏòµÄÔÈÇ¿µç³¡Ê¹Ð¡ÇòÓÉAµãÔ˶¯µ½Bµã£¬¾²µçÁ¦×ö¹¦ÎªW=0.2J£¬ÒÑÖªA¡¢BÁ½µã¼ä¾àÀëΪL=0.1m£¬µçÊÆ²îΪUAB=20V£¬
£¨1£©ÅжÏÔÈÇ¿µç³¡µÄ³¡Ç¿·½Ïò£»
£¨2£©Çóµç³¡Ç¿¶ÈµÄ´óС£»
£¨3£©ÇóСÇòµÄ´øµçÁ¿£»
£¨4£©ÇóСÇòµ½´ïBµãʱµÄËÙÂÊ£®

²é¿´´ð°¸ºÍ½âÎö>>

¿ÆÄ¿£º¸ßÖÐÎïÀí À´Ô´£º ÌâÐÍ£º

¾«Ó¢¼Ò½ÌÍøÔڹ⻬¾øÔµµÄË®Æ½ÃæÉÏÓаëÔ²ÖùÐεݼ²ÛABC£¬½ØÃæ°ë¾¶ÎªR=0.4m£®¿Õ¼äÓÐÊúÖ±ÏòϵÄÔÈÇ¿µç³¡£¬Ò»¸öÖÊÁ¿m=0.02kg£¬´øµçÁ¿q=+l£®0¡Ál0-3 CµÄСÇò£¨¿ÉÊÓΪÖʵ㣩ÒÔ³õËÙ¶Èv0=4m/s´ÓAµãˮƽ·ÉÈ˰¼²Û£¬Ç¡ºÃײÔÚDµã£¬DÓëOµÄÁ¬ÏßÓëˮƽ·½Ïò¼Ð½ÇΪ¦È=53¡ã£¬ÖØÁ¦¼ÓËÙ¶ÈÈ¡g=10m/s2£¬sin 53¡ã=0.8£®cos 53¡ã=0.6£¬ÊÔÇó£º
£¨1£©Ð¡Çò´ÓAµã·Éµ½DµãËùÓõÄʱ¼ät£»
£¨2£©µç³¡Ç¿¶ÈEµÄ´óС£»
£¨3£©´ÓAµãµ½Dµã´øµçСÇòµçÊÆÄܵı仯Á¿£®

²é¿´´ð°¸ºÍ½âÎö>>

ͬ²½Á·Ï°²á´ð°¸