精英家教网 > 高中物理 > 题目详情
一列货车以8m/s的速度在铁路上匀速行驶,由于调度事故,在大雾中后面600m处有一列快车以20m/s的速度在同一轨道上行驶,快车司机赶快合上制动器,快车要滑行2000m才能停下来,请判断两车会不会相撞?
【答案】分析:在两车速度相等前,两车的距离逐渐减小,若没相撞,则不会相撞,因为速度相等之后,两车的距离又逐渐增大.所以判断两车是否相撞,通过判断速度相等时,有无相撞.通过速度相等,求出运行的时间,然后根据位移公式求出两车的位移进行判断.
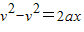
解答:解:根据匀变速直线运动的速度位移公式
  快车加速度为 a=
两车速度相等时所经历的时间t=
  货车位移 x=v1t=8×120=960m 
快车位移 x=
则   x+x=960+600=1560m<x  
故两车会相撞.
点评:解决本题的关键知道判断两车有无相撞,通过速度相等时,判断有无碰撞.因为速度相等之前,两车距离逐渐减小,若没有相撞,速度相等后,距离逐渐增大,就不会相撞.
练习册系列答案
相关习题

科目:高中物理 来源: 题型:

(2006?镇江模拟)一列货车以8m/s的速度在铁路上匀速行驶,由于调度事故,在大雾中后面600m处有一列快车以20m/s的速度在同一轨道上行驶,快车司机赶快合上制动器,快车要滑行2000m才能停下来,请判断两车会不会相撞?

查看答案和解析>>

科目:高中物理 来源: 题型:

一列货车以8m/s的速度在平直铁路上运行,由于调度失误,在后面600m处有一列快车以20m/s的速度向它靠近.快车司机发觉后立即制动,若两车恰好不相撞,(货车速度保持不变)求:
(1)快车从制动至两车恰好不相撞所用时间t;
(2)快车制动过程中的加速度a的大小;
(3)从制动至两车恰好不相撞快车的位移的大小.

查看答案和解析>>

科目:高中物理 来源: 题型:

一列货车以8m/s的速度在铁轨上匀速运行,由于调度事故,在货车的后面600m处的同一轨道上有一列快车以20m/s的速度同方向行驶,快车司机发觉后立即制动,若在平常以同样的方式制动要滑行2000m才能停下.请你
(1)求出快车平常制动时的加速度大小;
(2)通过计算判断快车和货车是否会相撞.

查看答案和解析>>

科目:高中物理 来源: 题型:解答题

一列货车以8m/s的速度在平直铁路上运行,由于调度失误,在后面600m处有一列快车以20m/s的速度向它靠近.快车司机发觉后立即制动,若两车恰好不相撞,(货车速度保持不变)求:
(1)快车从制动至两车恰好不相撞所用时间t;
(2)快车制动过程中的加速度a的大小;
(3)从制动至两车恰好不相撞快车的位移的大小.

查看答案和解析>>

科目:高中物理 来源: 题型:解答题

一列货车以8m/s的速度在铁路上匀速行驶,由于调度事故,在大雾中后面600m处有一列快车以20m/s的速度在同一轨道上行驶,快车司机赶快合上制动器,快车要滑行2000m才能停下来,请判断两车会不会相撞?

查看答案和解析>>

同步练习册答案