精英家教网 > 高中物理 > 题目详情
如图所示,边长为L的正方形区域abcd内存在着匀强电场。电荷量为q、动能为Ek的带电粒子从a点沿ab方向垂直于电场线进入电场,不计重力作用。
(1)若粒子从c点离开电场,求电场强度的大小和粒子离开电场时的动能;
(2)如果改变电场强度的大小,试对带电粒子离开电场的位置进行讨论。

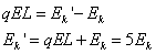
解:(1)设带电粒子进入电场时的速度v0
带电粒子在电场中的运动时间
粒子离开电场时的偏转量
整理得
设粒子离开电场时的动能为Ek'
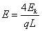
由动能定理得
 
(2)设改变后电场强度的大小为E'
如果E'>E,带电粒子将从cd边离开电场。E'越大,离开电场的位置离c越远
如果E'<E,带电粒子将从bc边离开电场。E'越小,离开电场的位置离c越远
练习册系列答案
相关习题

科目:高中物理 来源: 题型:

如图所示,边长为L的正方形区域abcd内存在着匀强电场.电量为q、动能为Ek的带电粒子从a点沿ab方向进入电场,不计带电粒子的重力.
(1)若粒子从c点离开电场,求粒子离开电场时的动能Ek1
(2)若粒子离开电场时动能为Ek′,则电场强度可能为多大?

查看答案和解析>>

科目:高中物理 来源: 题型:

如图所示,边长为L的正方形线图abcd匝数为n、电阻为r,外电路的电阻为R,线圈位于磁感应强度为B的匀强磁场中,若线圈从图示位置开始,以角速度ω绕OO′轴匀速转动,则以下判断中正确的是(  )

查看答案和解析>>

科目:高中物理 来源: 题型:

精英家教网如图所示,边长为L的正方形导线框底边水平,且平行于正下方的磁场边界,正下方的匀强磁场宽度均为L,磁感强度等值反向,两磁场区域紧邻.当线框底边进入磁场I区域时,导线框恰好做匀速运动,这时导线框的电功率为P.则当导线框底边刚进入磁场II区域时,下列结论正确的是(  )

查看答案和解析>>

科目:高中物理 来源: 题型:

精英家教网如图所示,边长为L的正方形区域abcd内存在着匀强电场,一个质量为m、电量为q、初速度为v0的带电
粒子从a点沿ab方向进入电场,不计重力.若粒子恰好从c点离开电场,则电场强度E=
 
;粒子离开电场时的动能为
 

查看答案和解析>>

科目:高中物理 来源: 题型:

精英家教网如图所示,边长为L的正方形闭合线框,在磁感应强度为B的匀强磁场中,以一条边为轴,以角速度ω匀速转动,转轴与B垂直,线圈总电阻为R,导线电阻不计.下列说法中正确的是(  )

查看答案和解析>>

同步练习册答案