精英家教网 > 初中数学 > 题目详情
9.下面有一数值转换器,原理如图所示,若开始输入的x的值是22,则第1次输出的结果是11,第2次输出的结果是16,依次继续下去,则第2015次输出的结果是2.

分析 根据运算程序,依次进行计算,不难发现,从第2次开始,每3次运算为一个循环组进行循环,用(2014-1)除以6,根据商和余数的情况确定答案即可.

解答 解:第1次输出的结果是11,
第2次输出的结果是11+5=16,
第3次输出的结果是$\frac{1}{2}×16$=8,
第4次输出的结果是$\frac{1}{2}×8$=4,
第5次输出的结果是$\frac{1}{2}×4$=2,
第6次输出的结果是$\frac{1}{2}×2$=1,
第7次输出的结果是1+5=6,
第8次输出的结果是6×$\frac{1}{2}=3$,
第9次输出的结果是3+5=8,
第10次输出的结果是$\frac{1}{2}×$8=4,
…,
从第3次开始,每6次运算为一个循环组进行循环,
∵(2015-2)÷6=335余3,
∴第2015次输出的结果是第336循环组的第3次输出,结果为2.
故答案为:2.

点评 本题考查了代数式求值,根据计算,观察出从第3次开始,每6次运算为一个循环组进行循环是解题的关键,也是本题的难点.

练习册系列答案
相关习题

科目:初中数学 来源: 题型:填空题

19.多项式x2+2xy+y2与多项式x2-2xy+y2的差是4xy.

查看答案和解析>>

科目:初中数学 来源: 题型:填空题

20.近似数1.60万精确到百位.

查看答案和解析>>

科目:初中数学 来源: 题型:解答题

17.观察下面三行数:
-2,4,-8,16,-32,64…;
0,6,-6,18,-30,66…;
1,-$\frac{3}{2}$,$\frac{5}{4}$,-$\frac{7}{8}$,$\frac{9}{16}$,-$\frac{11}{32}$,…;
(1)第一行数的第8个数为256;
(2)若第一行的第n个数用(-2)n表示,则第三行的第n个数表示为$\frac{2n-1}{(-2)^{n-1}}$;
(3)取每一行的第m个数,三个数的和记为p,
①当m=10时,求p的值;
②当m=13时,|p+30000|的值最小.

查看答案和解析>>

科目:初中数学 来源: 题型:解答题

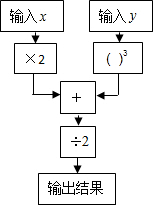
4.如图是一个数值转换机的示意图,请你用x、y表示输出结果,并求输入x的值为$\frac{1}{3}$,y的值为-2时的输出结果.

查看答案和解析>>

科目:初中数学 来源: 题型:选择题

14.A、B两地相距870千米,有两列火车同时从两站相对开出,甲车每小时行60千米,乙车每小时比甲车快5千米,6小时后两车的距离为(  )
A.80千米B.90千米C.100千米D.120千米

查看答案和解析>>

科目:初中数学 来源: 题型:解答题

1.计算
(1)$\sqrt{18}-\sqrt{72}+\sqrt{50}$
(2)${({2-\sqrt{10}})^2}+\sqrt{40}$.

查看答案和解析>>

科目:初中数学 来源: 题型:解答题

18.如图,点B为线段AC上任一点,点M为线段AB的中点,点N为线段BC的中点,问:
(1)若AC=16,求MN的长;
(2)若AC=a,则MN=$\frac{1}{2}$a.

查看答案和解析>>

科目:初中数学 来源: 题型:解答题

19.等腰△ABC中,AB=AC,如果一条腰长为5,一条中线为3,求底角的正弦值.

查看答案和解析>>

同步练习册答案