精英家教网 > 初中数学 > 题目详情
17.我们学过单项式除以单项式、多项式除以单项式,那么多项式除以多项式该怎么计算呢?我们可以用竖式进行演算,即先把被除式、除式按某个字母作降幂排列,并把所缺的项用零补齐,再类似数的竖式除法求出商式和余式,其中余式为0或余式的次数低于除式的次数.例如:
计算(4+3x3-7x2)÷(3x+2).
∴(4+3x2一7x2)÷(2+3x)=x2-3x+2.
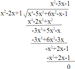
请你用竖式计算:(x4-5x3+6x2-x-1)÷(x2-2x+1).

分析 两个多项式相除,可以先把这两个多项式都按同一字母的降幂排列,然后再仿照两个多位数相除的办法用竖式进行计算.

解答 解:(x4-5x3+6x2-x-1)÷(x2-2x+1)=x2-3x-1.

点评 本题主要考查的是多项式除多项式,掌握题目给出的竖式计算方法是解题的关键.

练习册系列答案
相关习题

科目:初中数学 来源: 题型:填空题

7.计算:(-x22•(-x22=x8

查看答案和解析>>

科目:初中数学 来源: 题型:解答题

8.已知平行四边形ABCD的两边AB,AD的长是关于x的方程:x2+(2m-1)x+4=0的两个实根.
(1)当AB=1时,平行四边形ABCD的周长是多少?
(2)当m为何值时,平行四边形ABCD是菱形?

查看答案和解析>>

科目:初中数学 来源: 题型:解答题

5.如图,在△ABC中,若沿EF折叠,恰好使点A落在BC上的点D处,请你说明EF⊥AD.

查看答案和解析>>

科目:初中数学 来源: 题型:解答题

12.某灯具商店运进22盏灯,每盏灯40元,搬运时不小心损坏2盏,当其余20盏全部售完,商店利润率为15%,求实际每盏灯售价.

查看答案和解析>>

科目:初中数学 来源: 题型:解答题

2.某单位要组织员工外出旅游,甲旅行社说:“所有游客的票价一律八折”.乙旅行社说:“5人免费,其余一律全票.”假如票价为1000元/人.回答下列问题:
(1)设有游客x名,甲旅行社的收入为y1元,乙旅行社的收入为y2元,请分别写出用x表示y1和y2的关系式.
(2)如果有20人要去旅游,请算一下哪家旅行社更优惠.

查看答案和解析>>

科目:初中数学 来源: 题型:解答题

9.已知:A=x2+2y2,B=-4x2+3y2,且2B-3A+C=0,求C.

查看答案和解析>>

科目:初中数学 来源: 题型:选择题

6.一个三角形的三条边长之比是3:5:7,且最长边比最短边长8cm,则该三角形的周长是(  )
A.10cmB.20cmC.30cmD.40cm

查看答案和解析>>

科目:初中数学 来源: 题型:解答题

7.已知,如图,A(-4,2),B(n,-4)是一次函数y1=k1+b图象与反比例函数y2=$\frac{{k}_{1}}{x}$的图象的两个交点.
(1)求此反比例函数和一次函数的解析式.
(2)限根据图象直接写出使y1>y2的x的取值范围.

查看答案和解析>>

同步练习册答案