精英家教网 > 初中数学 > 题目详情

【题目】如图,已知直线l:y=﹣x+bx轴、y轴分别交于点A,B,直线l1:y=x+1y轴交于点C,设直线l与直线l1的交点为E

(1)如图1,若点E的横坐标为2,求点A的坐标;

(2)在(1)的前提下,D(a,0)为x轴上的一点,过点Dx轴的垂线,分别交直线l与直线l1于点M、N,若以点B、C、M、N为顶点的四边形为平行四边形,求a的值;

(3)如图2,设直线l与直线l2:y=﹣x﹣3的交点为F,问是否存在点B,使BE=BF,若存在,求出直线l的解析式,若不存在,请说明理由.

【答案】(1)点A的坐标为(6,0);

(2)当以点B、C、M、N为顶点的四边形为平行四边形,a的值为4;

(3)存在点B,使BE=BF,此时直线l的解析式为y=﹣x﹣

【解析】试题分析:(1)由点E的横坐标结合一次函数图象上点的坐标特征即可找出点E的坐标,再利用待定系数法即可求出直线的解析式,令求出的值,即可得出点A的坐标;

(2)根据点D的横坐标为a利用一次函数图象上点的坐标特征即可找出点M、N的坐标,从而得出线段MN的长度,分别令直线的解析式中求出点的坐标,再根据平行四边形的性质即可得出关于a的含绝对值符号的一元一次方程,解方程即可得出结论;

(3)假设存在,联立直线的解析式成方程组,解方程组求出点E的坐标,联立直线的解析式成方程组,解方程组求出点F的坐标,结合即可得出关于b的一元一次方程,解方程求出b值,此题得解.

试题解析:(1)∵点E在直线l1上,且点E的横坐标为2,

∴点E的坐标为(2,2),

∵点E在直线l上,

解得:b=3,

∴直线l的解析式为

y=0,

解得:x=6,

∴点A的坐标为(6,0).

(2)依照题意画出图形,如图3所示,

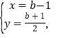
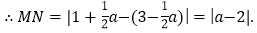
x=a时,

x=0,

BC=31=2.

BCMN

∴当MN=BC=2时,以点B. C.MN为顶点的四边形为平行四边形,

此时|a2|=2,

解得:a=4a=0(舍去).

∴当以点B. C.MN为顶点的四边形为平行四边形,a的值为4.

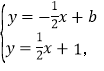
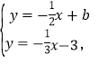
(3)假设存在.

联立直线ll1的解析式成方程组

解得:

∴点E的坐标为

联立直线ll2的解析式成方程

解得:

∴点F的坐标为(18+6b,92b).

BE=BF,且E.F均在直线l上,

b1=186b,解得:

此时直线l的解析式为

故存在点B,使BE=BF,此时直线l的解析式为

练习册系列答案
相关习题

科目:初中数学 来源: 题型:

【题目】如果一个角的补角是142°,那么这个角的余角是

查看答案和解析>>

科目:初中数学 来源: 题型:

【题目】ABCD中,ECD边上一点,

(1)将ADE绕点A按顺时针方向旋转,使AD、AB重合,得到ABF,如图1所示.观察可知:与DE相等的线段是   AFB=   

(2)如图2,正方形ABCD中,P、Q分别是BC、CD边上的点,且∠PAQ=45°,试通过旋转的方式说明:DQ+BP=PQ;

(3)在(2)题中,连接BD分别交AP、AQM、N,你还能用旋转的思想说明BM2+DN2=MN2吗?

查看答案和解析>>

科目:初中数学 来源: 题型:

【题目】下列运算中,正确的是(  )

A. a2+a22a4B. a2a3a6

C. a3÷a3aD. (ab2)2a2b4

查看答案和解析>>

科目:初中数学 来源: 题型:

【题目】解方程:﹣5x+9=7x﹣15.

查看答案和解析>>

科目:初中数学 来源: 题型:

【题目】已知,如图,CD为⊙O的直径,∠EOD=60°,AE交⊙O于点B,E,且AB=OC,求:(1)A的度数;(2)AEO度数.

查看答案和解析>>

科目:初中数学 来源: 题型:

【题目】计算:(m4)2+m5m3+(m)4m4

查看答案和解析>>

科目:初中数学 来源: 题型:

【题目】如图1,为美化校园环境,某校计划在一块长为60米,宽为40米的长方形空地上修建一个长方形花圃,并将花圃四周余下的空地修建成同样宽的通道,设通道宽为米.

1花圃的面积为____(用含的式子表示);

2如果通道所占面积是整个长方形空地面积的,求出此时通道的宽;

3已知某园林公司修建通道、花圃的造价(元)、(元)与修建面积 之间的函数关系如图2所示,如果学校决定由该公司承建此项目,并要求修建的通道的宽度不少于2米且不超过10米,那么通道宽为多少时,修建的通道和花圃的总造价为105920

查看答案和解析>>

科目:初中数学 来源: 题型:

【题目】已知点A3,﹣2),B(﹣1m),直线ABx轴平行,则m___

查看答案和解析>>

同步练习册答案