精英家教网 > 初中数学 > 题目详情

【题目】某蔬菜经营户从蔬菜批发市场批发蔬菜进行零售,部分蔬菜批发价格与零售价格如下表:

请解答下列问题:

(1)第一天,该经营户批发西红柿和西兰花两种蔬菜共300 kg,用去了1520元钱,这两种蔬菜当天全部售完后一共能赚多少元钱?

(2)第二天,该经营户用1520元钱仍然批发西红柿和西兰花,要想当天全部售完后所赚钱数不少于1050元,则该经营户最多能批发西红柿多少千克?

【答案】(1)960元;(2)100kg

【解析】

(1)设批发西红柿㎏,西兰花根据批发西红柿和西兰花两种蔬菜共300㎏,用去了1520元钱,列方程组求解;

(2)设批发西红柿,根据当天全部售完后所赚钱数不少于1050元,列不等式求解.

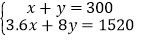
(1)设批发西红柿㎏,西兰花

由题意得

解得:

故批发西红柿200㎏,西兰花100㎏,

则这两种蔬菜当天全部售完一共能赚:200×1.8+100×6=960(元),

答:这两种蔬菜当天全部售完一共能赚960元;

(2)设批发西红柿a㎏,

由题意得,(5.43.6)a+(148)× ≥1050,

解得:a≤100.

答:该经营户最多能批发西红柿100㎏.

练习册系列答案
相关习题

科目:初中数学 来源: 题型:

【题目】计算:

(1)(﹣2x3y)2(﹣2xy)+(﹣2x3y)3÷2x2

(2)20202﹣2019×2021

(3)(﹣2a+b+1)(2a+b﹣1)

查看答案和解析>>

科目:初中数学 来源: 题型:

【题目】小明从家到图书馆看报然后返回,他离家的距离y与离家的时间x之间的对应关系如图所示,如果小明在图书馆看报30分钟,那么他离家50分钟时离家的距离为 km.

查看答案和解析>>

科目:初中数学 来源: 题型:

【题目】小玲和弟弟小东分别从家和图书馆同时出发,沿同一条路相向而行,小玲跑步中途改为步行,到达图书馆恰好用30 min.小东骑自行车以300 m/min的速度直接回家.两人离家的路程y(m)与各自离开出发地的时间x(min)之间的函数图象如图9所示.

(1)家与图书馆之间的路程为 m,小玲步行的速度为 m/min;

(2)求小东离家的路程y关于x的函数解析式,并写出自变量的取值范围;

(3)求两人相遇的时间.

查看答案和解析>>

科目:初中数学 来源: 题型:

【题目】计算:
(1)计算:(﹣1)2017+2cos45°﹣
(2)化简: ÷(1﹣ ).

查看答案和解析>>

科目:初中数学 来源: 题型:

【题目】解不等式组并将解集在数轴上表示出来.

查看答案和解析>>

科目:初中数学 来源: 题型:

【题目】我们给出如下定义:顺次连接任意一个四边形各边中点所得的四边形叫中点四边形.

(1如图1,四边形ABCD中,点E,F,G,H分别为边AB,BC,CD,DA的中点.求证:中点四边形EFGH是平行四边形;

(2如图2,点P是四边形ABCD内一点,且满足PA=PB,PC=PD,∠APB=∠CPD,点E,F,G,H分别为边AB,BC,CD,DA的中点,猜想中点四边形EFGH的形状,并证明你的猜想;

(3若改变(2中的条件,使∠APB=∠CPD=90°,其他条件不变,直接写出中点四边形EFGH的形状.(不必证明

查看答案和解析>>

科目:初中数学 来源: 题型:

【题目】如图,下列条件中,不能证明△ABD≌△ACD的是(  )

A. AB=AC,BD=CD B. ∠B=∠C,BD=CD

C. ∠B=∠C,∠BAD=∠CAD D. ∠ADB=∠ADC,DB=DC

查看答案和解析>>

科目:初中数学 来源: 题型:

【题目】某校为提高学生身体素质,决定开展足球、篮球、台球、乒乓球四项课外体育活动,并要求学生必须并且只能选择一项.为了解选择各种体育活动项目的学生人数,随机抽取了部分学生进行调查,并绘制出以下两幅不完整的统计图.请根据统计图回答下列问题.(要求写出简要的解答过程)

(1)这次活动一共调查了多少名学生?

(2)补全条形统计图.

(3)若该学校总人数是1300人,请估计选择篮球项目的学生人数.

查看答案和解析>>

同步练习册答案