精英家教网 > 初中数学 > 题目详情

如图:已知反比例函数y=与一次函数y=k2x+b的图象交于A(2,﹣1),B().

(1)求k1、k2,b的值;

(2)求三角形AOB的面积;

(3)若M(x1,y1),N(x2,y2)是反比例函数y=图象上的两点,且x1<x2,y1>y2,指出M、N各位于哪个象限,并简单说明理由.

 


 

【考点】反比例函数与一次函数的交点问题.

【专题】计算题.

【分析】(1)先把A点坐标代入y=可求出k1=﹣2,则反比例函数的解析式为y=﹣,再把B()代入反比例函数解析式求出m,得到B点坐标,然后利用待定系数法求一次函数解析式即可;

(2)如图,设直线AB交y轴于C点,则C(0,3),然后根据三角形面积公式,利用SAOB=SAOC+SBOC进行计算;

(3)根据反比例函数的性质,在每一象限内y随x的增大而增大,而x1<x2,y1>y2,于是可判断M点和N点不在同一象限,则易得点M在第二象限,点N在第四象限.

【解答】解:(1)把A(2,﹣1)代入y=得k1=2×(﹣1)=﹣2,

则反比例函数的解析式为y=﹣

把B()代入y=﹣得﹣m=﹣2,解得m=4,

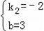
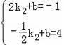
把A(2,﹣1)、B(﹣,4)代入y=k2x+b得,解得

则直线解析式为y=﹣2x+3,

即k1、k2,b的值分别为﹣2,﹣2,3;

(2)如图,设直线AB交y轴于C点,

当x=0时,y=﹣2x+3=3,则C(0,3),

所以SAOB=SAOC+SBOC=×3×+×3×2=

(3)因为M(x1,y1),N(x2,y2)是反比例函数y=﹣图象上的两点,且x1<x2,y1>y2

所以M点和N点不在同一象限,其中点M在第二象限,点N在第四象限.

【点评】本题考查了反比例函数与一次函数的交点问题:求反比例函数与一次函数的交点坐标,把两个函数关系式联立成方程组求解,若方程组有解则两者有交点,方程组无解,则两者无交点.也考查了反比例函数的性质.

 


练习册系列答案
相关习题

科目:初中数学 来源: 题型:


如图,在圆O中,∠AOC=160°,则∠ABC=(     )

A.20°   B.40°    C.80°   D.160°

查看答案和解析>>

科目:初中数学 来源: 题型:


计算:cos230°+2sin60°﹣tan45°.

 

查看答案和解析>>

科目:初中数学 来源: 题型:


已知扇形的圆心角为45°,半径长为12,用它围成一个圆锥的侧面,那么圆锥的底面半径为(  )

A.3       B.1.5    C.2       D.2.5

 

查看答案和解析>>

科目:初中数学 来源: 题型:


如图,AD是⊙O的直径.

(1)如图1,垂直于AD的两条弦B1C1,B2C2把圆周4等分,则∠B1的度数是      ,∠B2的度数是      

(2)如图2,垂直于AD的三条弦B1C1,B2C2,B3C3把圆周6等分,则∠B3的度数是      

(3)如图3,垂直于AD的n条弦B1C1,B2C2,B3 C3,…,BnCn把圆周2n等分,则∠Bn的度数是      (用含n的代数式表示∠Bn的度数).

 

 

查看答案和解析>>

科目:初中数学 来源: 题型:


如果将抛物线y=x2+2向下平移1个单位,那么所得新抛物线的表达式是(  )

A.y=(x﹣1)2+2       B.y=(x+1)2+2 C.y=x2+1     D.y=x2+3

查看答案和解析>>

科目:初中数学 来源: 题型:


如图,∠O=30°,C为OB上一点,且OC=6,以点C为圆心,半径为3的圆与OA的位置关系是(  )

A.相离 B.相交

C.相切 D.以上三种情况均有可能

查看答案和解析>>

科目:初中数学 来源: 题型:


如果,那么的值是     (    )

 A.2             B.4            C.0                D.

查看答案和解析>>

科目:初中数学 来源: 题型:


若关于x的方程x﹣1=1与2x+3m﹣1=0的解相同,则m的值等于      

 

查看答案和解析>>

同步练习册答案