精英家教网 > 初中数学 > 题目详情
14.已知:E、F分别是矩形ABCD的边AD、CD上一点,且DF=CF,∠DEF=2∠CBF,若AB=4,BC=5,则AE=$\frac{29}{10}$.

分析 在矩形ABCD中,AD=BC,∠D=∠C=90°,通过三角形全等得到∠DAF=∠FBC,因为∠DEF=2∠FBC,推出∠DEF=2∠DAF,根据外角的性质证得等腰三角形,再根据勾股定理列方程求解.

解答  解:如图,连接AF,
在矩形ABCD中,
∵AD=BC,∠D=∠C=90°,
在△ADF与△BCF中,$\left\{\begin{array}{l}{AD=BC}\\{∠D=∠C}\\{CF=DF}\end{array}\right.$,
∴△ADF≌△BCF,
∴∠DAF=∠FBC,
∵∠DEF=2∠FBC,
∴∠DEF=2∠DAF,
∵∠DEF=∠DAF+∠EFA,
∴∠DAF=∠EFA,
∴AE=EF,
设AE=EF=x,则DE=5-x,
∴x2=(5-x)2+22
解得:x=$\frac{29}{10}$,
∴AE=$\frac{29}{10}$.
故答案为:$\frac{29}{10}$.

点评 本题考查了矩形的性质全等三角形的判定与性质,三角形的外角的性质勾股定理的应用,正确的作出辅助线是解题的关键.

练习册系列答案
相关习题

科目:初中数学 来源: 题型:解答题

9.五一小长假期间,温州某景区推出“赛龙舟”游乐项目,经市场调查发现,票价为80元时,平均每天有500位游客参与,如果票价每提价10元,那么会相应减少50位游客,设票价提价x元
(1)完成填空:提价后的票价为x+80,游客数量为(500-5x)位(请用含x的代数式表示)
(2)据统计五一小长假此项目第一天共售票36000元,则第一天的票价为多少元?

查看答案和解析>>

科目:初中数学 来源: 题型:解答题

10.在同一平面直角坐标系中画出函数y=-x+2与y=2x+2的图象,指出它们的共同之处,并分别指出每个函数中当x增大时y如何变化.

查看答案和解析>>

科目:初中数学 来源: 题型:解答题

2.勾股定理神秘而美妙,它的证法多样,其巧妙各有不同,其中的“面积法”给了小聪以灵感,他惊喜的发现,当两个全等的直角三角形如图1或图2摆放时,都可以用“面积法”来证明,下面是小聪利用图1证明勾股定理的过程:

将两个全等的直角三角形按图1所示摆放,其中∠DAB=90°,求证:a2+b2=c2
证明:连接DB,过点D作BC边上的高DF,则DF=EC=b-A.
∵S四边形ADCB=S△ACD+S△ABC=$\frac{1}{2}$b2+$\frac{1}{2}$ab.
又∵S四边形ADCB=S△ADB+S△DCB=$\frac{1}{2}$c2+$\frac{1}{2}$a(b-a)
∴$\frac{1}{2}$b2+$\frac{1}{2}$ab=$\frac{1}{2}$c2+$\frac{1}{2}$a(b-a)
∴a2+b2=c2
解决问题:请参照上述证法,利用图2完成下面的证明:将两个全等的直角三角形按图2所示摆放,其中∠DAB=90°.求证:a2+b2=c2

查看答案和解析>>

科目:初中数学 来源: 题型:选择题

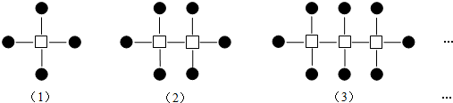
9.下列图形是由一些小正方形和实心圆按一定规律排列而成的,如图所示,按此规律排列下去,第10个图形中有 (  )个实心圆.
A.10B.18C.20D.22

查看答案和解析>>

科目:初中数学 来源: 题型:解答题

19.如图,在△ABC,AB=AC,以AB为直径的⊙O分别交AC、BC于点D、E,点F在AC的延长线上,且BF是⊙O的切线.
(1)求证:∠BAC=2∠CBF;
(2)若⊙O的半径为5,sin∠CBF=$\frac{2}{5}$,求CD的长.

查看答案和解析>>

科目:初中数学 来源: 题型:解答题

6.如图,在平面直角坐标系中,正比例函数y=kx的图象与反比例函数y=$\frac{m}{x}$的图象交于点A,C,点A的坐标为(1,2),点B在反比例函数y=$\frac{m}{x}$(x<0)的图象上,且AB⊥BC.
(1)求k,m的值;
(2)若直线AB的函数关系式为y=ax+b,求a,b的值;
(3)求不等式ax+b≥$\frac{m}{x}$的解集(直接写出答案)

查看答案和解析>>

科目:初中数学 来源: 题型:解答题

3.阅读下列材料:
如果我们规定一种运算为$|\begin{array}{l}{a}&{b}\\{c}&{d}\end{array}|$=ad-bc,例如:$|\begin{array}{l}{2}&{4}\\{3}&{5}\end{array}|$=2×5-4×3=-2,请按照这种运算的规定,解答下列问题:
(1)若$|\begin{array}{l}{5}&{\frac{1}{x-3}}\\{2x}&{\frac{1}{x}}\end{array}|$=-2,求x的值;
(2)当x满足什么条件时,-1<$|\begin{array}{l}{x}&{x-3}\\{3}&{-2}\end{array}|$≤4;
(3)如果规定$|\begin{array}{l}{a}&{b}&{c}\\{d}&{e}&{f}\\{g}&{h}&{i}\end{array}|$=a$|\begin{array}{l}{e}&{f}\\{h}&{i}\end{array}|$-b$|\begin{array}{l}{d}&{f}\\{g}&{i}\end{array}|$+c$|\begin{array}{l}{d}&{e}\\{g}&{h}\end{array}|$,试计算$|\begin{array}{l}{a}&{1}&{1}\\{1}&{a}&{1}\\{1}&{1}&{a}\end{array}|$的值.

查看答案和解析>>

科目:初中数学 来源: 题型:选择题

4.如图,在△ABC中,点D、E分别在AB、AC边上,DE∥BC,若AD=1,BD=2,则$\frac{DE}{BC}$的值为(  )
A.$\frac{1}{2}$B.$\frac{1}{3}$C.$\frac{1}{4}$D.$\frac{1}{9}$

查看答案和解析>>

同步练习册答案