精英家教网 > 初中数学 > 题目详情
已知一次函数y=(a-1)x+2(a-1)(a≠1)的图象如图所示,已知3OA=2OB,求一次函数的解析式.
考点:待定系数法求一次函数解析式
专题:
分析:分别令x=0和y=0,用a表示出OA和OB的长度,代入OA和OB的关系式可求得a的值,即可解决问题.
解答:解:令x=0得,y=2(a-1),由图象可知a-1>0,所以OA=2(a-1),
令y=0得,0=(a-1)x+2(a-1),解得x=-2,所以OB=2,
又3OA=2OB,可得6(a-1)=4,解得a=
5
3

所以一次函数解析式为:y=
2
3
x+
4
3
点评:本题主要考查一次函数解析式的求法,用a表示出OA和OB的长是解题的关键.
练习册系列答案
相关习题

科目:初中数学 来源: 题型:

已知
x-8
+|y-17|=0,x+y的算术平方根为
 

查看答案和解析>>

科目:初中数学 来源: 题型:

某商店积压一批商品,原价每件100元,为了使这批货物尽快脱手,该商店先后分两次降价,降价方案有三种:方案甲:第一次降价2%,第二次降价4%;方案乙:第一次降价4%,第二次降价2%,方案丙:每次降价3%,试问:哪种方案降价后,现价最便宜?请说明理由.

查看答案和解析>>

科目:初中数学 来源: 题型:

如图,在平面直角坐标系中,A(1,2),B(3,1),C(-2,-1).
(1)在图中作出△ABC关于y轴对称的△A1B1C1
(2)写出A1,B1,C1的坐标(直接写出答案),
A1
 
;B1
 
;C1
 

(3)△A1B1C1的面积为
 

查看答案和解析>>

科目:初中数学 来源: 题型:

如图所示,在ABC中,AB=AC=BC,点D、E、F分别在BC、CA边延长线上,BE=AF=CD.求证:△DEF是等边三角形.

查看答案和解析>>

科目:初中数学 来源: 题型:

已知x2-3xy=9,xy-y2=4,则代数式y2-
1
3
x2值为(  )
A、-7B、1C、7D、-1

查看答案和解析>>

科目:初中数学 来源: 题型:

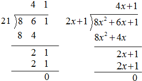
两个多项式相除,可以先把这两个多项式都按同一字母的降幂排列,然后在仿照两个多位数相除的办法用竖式进行计算.例:计算(6x+1+8x2)÷(2x+1),可依照861÷21的计算方法用竖式进行计算.因此(6x+1+8x2)÷(2x+1)=4x+1.

阅读上述材料后计算:
(1)(9x3-6x2-5x+2)÷(3x-1);
(2)(x3-1)÷(x-1).

查看答案和解析>>

科目:初中数学 来源: 题型:

如图,在?ABCD中,E、F分别是AD、AB上的点,且BE=DF,BE交DF于P、交CD的延长线于Q,求证:CD:CQ=PD:PQ.

查看答案和解析>>

科目:初中数学 来源: 题型:

已知AB是⊙O的直径,AB=10,点A到直线CD的距离为3,点B到直线CD的距离为7,则直线CD和⊙O的关系是
 

查看答案和解析>>

同步练习册答案