精英家教网 > 初中数学 > 题目详情

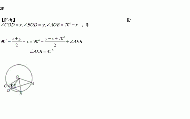
如图,在⊙O中,∠AOB+∠COD=70°,AD与BC交于点E,则∠AEB的度数为____________ .

练习册系列答案
相关习题

科目:初中数学 来源:[首发]广东省汕头市澄海区2017届九年级5月模拟考试数学试卷 题型:填空题

分解因式:_____________.

查看答案和解析>>

科目:初中数学 来源:2016-2017学年山东省八年级下学期期中阶段性教学评估考试数学试卷(解析版) 题型:解答题

如图,直线经过点A(0,5),B(1,4).

(1)求直线AB的解析式;

(2)若直线与直线AB相交于点C,求点C的坐标;

查看答案和解析>>

科目:初中数学 来源:2016-2017学年山东省八年级下学期期中阶段性教学评估考试数学试卷(解析版) 题型:单选题

我国古代数学名著《孙子算经》中记载了一道题,大意是:有100匹马恰好拉了100片瓦,已知1匹大马能拉3片瓦, 3匹小马能拉1片瓦,问有多少匹大马、多少匹小马?若设大马有匹,小马有匹,那么可列方程组为( )

A. B.

C. D.

查看答案和解析>>

科目:初中数学 来源:【全国市级联考】山东省威海市2017届九年级下学业水平模拟调研数学试卷 题型:解答题

如图,在△ABC和△BCD中,∠BAC=∠BCD=90°,AB=AC,CB=CD.延长CA至点E,使AE=AC;延长CB至点F,使BF=BC.连接AD,AF,DF,EF.延长DB交EF于点N.

(1)求证:AD=AF;

(2)试判断四边形ABNE的形状,并说明理由.

查看答案和解析>>

科目:初中数学 来源:【全国市级联考】山东省威海市2017届九年级下学业水平模拟调研数学试卷 题型:单选题

某服装厂准备加工400套运动装,在加工完160套后,采用了新技术,使得工作效率比原计划提高了20%,结果共用了18天完成任务,问原计划每天加工服装多少套?在这个问题中,设原计划每天加工x套,则根据题意可得方程为( )

A. B.

C. D.

查看答案和解析>>

科目:初中数学 来源:【全国市级联考】山东省威海市2017届九年级下学业水平模拟调研数学试卷 题型:单选题

下列几何体中,主视图是等腰三角形的是( )

A. B. C. D.

查看答案和解析>>

科目:初中数学 来源:【全国百强校】2017届江苏省自主招生模拟考试数学试卷(解析版) 题型:填空题

如图,已知M(3,3),⊙M的半径为2,四边形ABCD是⊙M的内接正方形,E为AB中点,当正方形ABCD绕圆心M转动时,△OME的面积最大值为________.

查看答案和解析>>

科目:初中数学 来源:2016-2017学年江苏省句容市片区八年级下学期第一次学情调研数学试卷(解析版) 题型:填空题

如图,AB⊥BC,AB=BC=2 cm,弧OA与弧OC关于点O成中心对称,则AB、BC、弧CO、弧OA所围成的面积是_______cm2.

查看答案和解析>>

同步练习册答案