7£®ÎªÁ˹᳹½ðÌÃÏØÈ«ÃæÌá¸ßËØÖʽÌÓýÒªÇó£¬Á˽âѧÉúµÄÒÕÊõÌØ³¤·¢Õ¹Çé¿ö£¬Ä³Ð£ÒôÀÖ×é¾ö¶¨Î§ÈÆ¡°ÔÚÎ赸¡¢ÀÖÆ÷¡¢ÉùÀÖ¡¢Ï·Çú¡¢ÆäËü»î¶¯ÏîÄ¿ÖУ¬Äã×îϲ»¶ÄÄÒ»Ïî»î¶¯£¨Ã¿ÈËÖ»ÏÞÒ»Ï¡±µÄÎÊÌ⣬ÔÚȫУ·¶Î§ÄÚËæ»ú³éÈ¡²¿·ÖѧÉú½øÐÐÎʾíµ÷²é£¬²¢½«µ÷²é½á¹û»æÖƳÉÈçÏÂÁ½·ù²»ÍêÕûµÄͳ¼ÆÍ¼£®

ÇëÄã¸ù¾Ýͳ¼ÆÍ¼½â´ðÏÂÁÐÎÊÌ⣺
£¨1£©ÔÚÕâ´Îµ÷²éÖÐÒ»¹²³é²éÁË50ÃûѧÉú£¬ÆäÖУ¬Ï²»¶¡°Î赸¡±»î¶¯ÏîÄ¿µÄÈËÊýÕ¼³é²é×ÜÈËÊýµÄ°Ù·Ö±ÈΪ24%£¬Ï²»¶¡°Ï·Çú¡±»î¶¯ÏîÄ¿µÄÈËÊýÊÇ4ÈË£»
£¨2£©ÈôÔÚ¡°¢ÙÎ赸¡¢¢ÚÀÖÆ÷¡¢¢ÛÉùÀÖ¡¢¢ÜÏ·Çú¡±Ëĸö»î¶¯ÏîÄ¿ÈÎÑ¡Á½ÏîÉèÁ¢¿ÎÍâÐËȤС×飬ÇëÓÃÁбí»ò»­Ê÷״ͼµÄ·½·¨ÇóÇ¡ºÃÑ¡ÖС°¢ÙÎ赸¡¢¢ÛÉùÀÖ¡±ÕâÁ½Ïî»î¶¯µÄ¸ÅÂÊ£®£¨6·Ö£©

·ÖÎö £¨1£©ÓÃϲ»¶ÉùÀÖµÄÈËÊý³ýÒÔËüËùÕ¼°Ù·Ö±È¼´¿ÉµÃµ½µ÷²éµÄ×ÜÈËÊý£¬ÔÙÓÃϲ»¶Î赸µÄÈËÊý³ýÒÔ×ÜÈËÊýµÃµ½Ï²»¶¡°Î赸¡±»î¶¯ÏîÄ¿µÄÈËÊýÕ¼³é²é×ÜÈËÊýµÄ°Ù·Ö±È£¬È»ºóÓÃ×ÜÈËÊý·Ö±ð¼õȥϲ»¶Î赸¡¢ÀÖÆ÷¡¢ºÍÆäËüµÄÈËÊýµÃµ½Ï²»¶Ï·ÇúµÄÈËÊý£»
£¨2£©ÏÈ»­Ê÷״ͼչʾËùÓÐ12ÖֵȿÉÄܵĽá¹ûÊý£¬ÔÙÕÒ³öÇ¡ºÃÑ¡ÖС°¢ÙÎ赸¡¢¢ÛÉùÀÖ¡±Á½Ïî»î¶¯µÄ½á¹ûÊý£¬È»ºó¸ù¾Ý¸ÅÂʹ«Ê½¼ÆË㣮

½â´ð ½â£º£¨1£©³é²éµÄÈËÊý=8¡Â16%=50£¨Ãû£©£»
ϲ»¶¡°Î赸¡±»î¶¯ÏîÄ¿µÄÈËÊýÕ¼³é²é×ÜÈËÊýµÄ°Ù·Ö±È=$\frac{12}{50}$¡Á100%=24%£»
ϲ»¶¡°Ï·Çú¡±»î¶¯ÏîÄ¿µÄÈËÊý=50-12-16-8-10=4£¨ÈË£©£»
¹Ê´ð°¸Îª50£¬24%£¬4£»
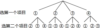
£¨2£©Î赸¡¢ÀÖÆ÷¡¢ÉùÀÖ¡¢Ï·ÇúµÄÐòºÅÒÀ´ÎÓâ٢ڢܱۢíʾ£¬
»­Ê÷״ͼ£º

¹²ÓÐ12ÖֵȿÉÄܵĽá¹ûÊý£¬ÆäÖÐÇ¡ºÃÑ¡ÖС°¢ÙÎ赸¡¢¢ÛÉùÀÖ¡±Á½Ïî»î¶¯µÄÓÐ2ÖÖÇé¿ö£¬
ËùÓйÊÇ¡ºÃÑ¡ÖС°Î赸¡¢ÉùÀÖ¡±Á½Ïî»î¶¯µÄ¸ÅÂÊ=$\frac{2}{12}$=$\frac{1}{6}$£®

µãÆÀ ±¾Ì⿼²éÁËÁÐ±í·¨»òÊ÷״ͼ·¨£ºÍ¨¹ýÁÐ±í·¨»òÊ÷״ͼ·¨Õ¹Ê¾ËùÓеȿÉÄܵĽá¹ûÇó³ön£¬ÔÙ´ÓÖÐÑ¡³ö·ûºÏʼþA»òBµÄ½á¹ûÊýÄ¿m£¬È»ºó¸ù¾Ý¸ÅÂʹ«Ê½Çó³öʼþA»òBµÄ¸ÅÂÊ£®Ò²¿¼²éÁËÉÈÐÎͳ¼ÆÍ¼ºÍÌõÐÎͳ¼ÆÍ¼£®

Á·Ï°²áϵÁдð°¸
Ïà¹ØÏ°Ìâ

¿ÆÄ¿£º³õÖÐÊýѧ À´Ô´£º ÌâÐÍ£º½â´ðÌâ

17£®¼ÆË㣺$\sqrt{4}+\left|{\left.{-1}\right|}\right.+\root{3}{-8}$£®

²é¿´´ð°¸ºÍ½âÎö>>

¿ÆÄ¿£º³õÖÐÊýѧ À´Ô´£º ÌâÐÍ£ºÑ¡ÔñÌâ

18£®µÈÑüÈý½ÇÐεĵ׽ÇÊÇ70¡ã£¬Ôò¶¥½ÇΪ£¨¡¡¡¡£©
A£®40¡ãB£®70¡ãC£®55¡ãD£®45¡ã

²é¿´´ð°¸ºÍ½âÎö>>

¿ÆÄ¿£º³õÖÐÊýѧ À´Ô´£º ÌâÐÍ£º½â´ðÌâ

15£®Ð¡¸ÕÉÏѧʱ²½ÐУ¬·Åѧ»Ø¼Òʱ³Ë¹«½»³µ£¬Íù·µÈ«³Ì¹²ÓÃ1.5h£¬Èç¹ûËûÉÏѧ£¬·Åѧ¶¼³Ë¹«½»³µÖ»Ðè0.5h£¬ÄÇôËûÉÏѧºÍ·Åѧ¶¼²½ÐУ¬Íù·µÈ«³ÌÒªÓöàÉÙʱ¼ä£®

²é¿´´ð°¸ºÍ½âÎö>>

¿ÆÄ¿£º³õÖÐÊýѧ À´Ô´£º ÌâÐÍ£ºÌî¿ÕÌâ

2£®Èçͼ£¬ÔÚ¾ØÐÎABCDÖУ¬AB=3£¬BC=2£¬ÒÔBCΪֱ¾¶ÔÚ¾ØÐÎÄÚ×÷°ëÔ²£¬×ÔµãA×÷°ëÔ²µÄÇÐÏßAE£¬Ôò$\frac{CE}{BC}$=$\frac{\sqrt{10}}{10}$£®

²é¿´´ð°¸ºÍ½âÎö>>

¿ÆÄ¿£º³õÖÐÊýѧ À´Ô´£º ÌâÐÍ£º½â´ðÌâ

12£®Èçͼ£¬½«ÓÉÏß¶Î×é³ÉµÄÁ½±ß¡ÏACBÑØOµãÐýת£¬Ê¹Aµãµ½Dµã£®

²é¿´´ð°¸ºÍ½âÎö>>

¿ÆÄ¿£º³õÖÐÊýѧ À´Ô´£º ÌâÐÍ£ºÑ¡ÔñÌâ

19£®ÏÂÁи÷×éÊýÖУ¬²»ÊÇx+y=5µÄ½âµÄÊÇ£¨¡¡¡¡£©
A£®$\left\{\begin{array}{l}{x=2}\\{y=3}\end{array}\right.$B£®$\left\{\begin{array}{l}{x=1}\\{y=6}\end{array}\right.$C£®$\left\{\begin{array}{l}{x=-2}\\{y=7}\end{array}\right.$D£®$\left\{\begin{array}{l}{x=0}\\{y=5}\end{array}\right.$

²é¿´´ð°¸ºÍ½âÎö>>

¿ÆÄ¿£º³õÖÐÊýѧ À´Ô´£º ÌâÐÍ£ºÌî¿ÕÌâ

16£®¼ÆË㣺£¨1+$\sqrt{2}$£©2=3+2$\sqrt{2}$£®

²é¿´´ð°¸ºÍ½âÎö>>

¿ÆÄ¿£º³õÖÐÊýѧ À´Ô´£º ÌâÐÍ£ºÑ¡ÔñÌâ

17£®Èçͼ£¬ÒÑÖª¡ÏAOB=60¡ã£¬µãPÔÚ±ßOAÉÏ£¬OP=10£¬µãM£¬NÔÚ±ßOBÉÏ£¬PM=PN£¬ÈôMN=2£¬ÔòOMµÈÓÚ£¨¡¡¡¡£©
A£®5$\sqrt{3}$B£®5$\sqrt{3}$-1C£®5D£®4

²é¿´´ð°¸ºÍ½âÎö>>

ͬ²½Á·Ï°²á´ð°¸