精英家教网 > 初中数学 > 题目详情

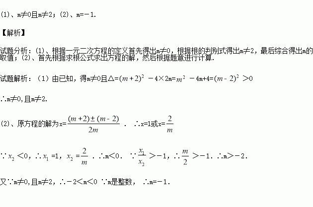
已知关于x的一元二次方程m-(m+2)x+2=0有两个不相等的实数根

(1)、求m的取值范围;

(2)、若<0,且>-1,求整数m的值.

练习册系列答案
相关习题

科目:初中数学 来源:2016届江苏省泰州市九年级下学期第一次月考数学试卷(解析版) 题型:填空题

查看答案和解析>>

科目:初中数学 来源:2016届江苏省两校联考九年级下第一次月考数学卷(解析版) 题型:解答题

已知:如图,在△ABC中,AB=AC,D为边BC上一点,将线段AB平移至DE,连接AE、AD、EC.

(1)求证:AD=EC;

(2)当点D在什么位置时,四边形ADCE是矩形,请说明理由.

查看答案和解析>>

科目:初中数学 来源:2016届江苏省两校联考九年级下第一次月考数学卷(解析版) 题型:选择题

如图,是一张平行四边形纸片ABCD,要求利用所学知识将它变成一个菱形,甲、乙两位同学的作法分别如下:

对于甲、乙两人的作法,可判断( )

A.甲正确,乙错误 B.甲错误,乙正确 C.甲、乙均正确 D.甲、乙均错误

查看答案和解析>>

科目:初中数学 来源:2016届江苏省九年级下学期第一次月考数学试卷(解析版) 题型:解答题

如图,在平面直角坐标系中,△ABC是直角三角形,∠ACB=90,AC=BC,OA=1,OC=4,抛物线y=+bx+c经过A,B两点,抛物线的顶点为D.

(1)、求b,c的值;

(2)、点E是直角三角形ABC斜边AB上一动点(点A、B除外),过点E作x轴的垂线交抛物线于点F,当线段EF的长度最大时,求点E的坐标;

(3)、在(2)的条件下:①求以点E、B、F、D为顶点的四边形的面积;②在抛物线上是否存在一点P,使△EFP是以EF为直角边的直角三角形? 若存在,求出所有点P的坐标;若不存在,说明理由.

查看答案和解析>>

科目:初中数学 来源:2016届江苏省九年级下学期第一次月考数学试卷(解析版) 题型:填空题

如图,矩形ABCD被分成四部分,其中△ABE、△ECF、△ADF的面积分别为2、3、4,则△AEF的面积为

查看答案和解析>>

科目:初中数学 来源:2016届江苏省九年级下学期第一次月考数学试卷(解析版) 题型:填空题

若-2是一元二次方程x2-2x-a=0的一个根,则a的值为

查看答案和解析>>

科目:初中数学 来源:2016届江苏省启东市九年级3月月考数学试卷(解析版) 题型:解答题

如图,在△ABC中,CD是AB边上的中线,E是CD的中点,过点C作AB的平行线交AE的延长线于点F,连接BF.

(1) 求证:CF=AD;

(2) 若CA=CB,∠ACB=90°,试判断四边形CDBF的形状,并说明理由.

查看答案和解析>>

科目:初中数学 来源:2016届江苏省江阴市九年级下学期第一次月考数学试卷(解析版) 题型:选择题

抛物线的顶点坐标是 ( )

A.(-1,4) B.(1,3) C.(-1,3) D.(1,4)

查看答案和解析>>

同步练习册答案