精英家教网 > 高中数学 > 题目详情

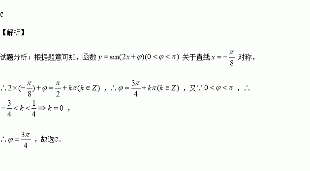
函数的图象向右平移后关于轴对称,则满足此条件的值为( )

A. B. C. D.

练习册系列答案
相关习题

科目:高中数学 来源:2015-2016学年江西南昌二中高二上学期期中文科数学试卷(解析版) 题型:解答题

(本小题满分12分).已知双曲线与椭圆有共同的焦点,点在双曲线上.

(Ⅰ)求双曲线的方程;

(Ⅱ)以为中点作双曲线的一条弦,求弦所在直线的方程.

查看答案和解析>>

科目:高中数学 来源:2015-2016学年广东省佛山市高一上学期期中数学试卷(解析版) 题型:选择题

函数的定义域是 ( )

A. B. C. D.

查看答案和解析>>

科目:高中数学 来源:2015-2016学年甘肃省嘉峪关市高二上学期期中考试文科数学试卷(解析版) 题型:选择题

,则一定有

A. B. C. D.

查看答案和解析>>

科目:高中数学 来源:2015-2016学年甘肃省嘉峪关市高二上学期期中考试理科数学试卷(解析版) 题型:选择题

已知数列满足 ,则此数列的通项等于( )

A. B. C. D.

查看答案和解析>>

科目:高中数学 来源:2016届浙江宁波效实中学高三上期中考试理科数学试卷(解析版) 题型:选择题

是三个不重合的平面,是两条不重合的直线,则下列说法正确的是( )

A.若,则 B.若,则

C.若,则 D.若,则

查看答案和解析>>

科目:高中数学 来源:2016届山东省高三第二次诊断性考试理科数学试卷(解析版) 题型:填空题

对于函数,现给出四个命题:

时,为奇函数;

的图象关于对称;

时,方程有且只有一个实数根;

④方程至多有两个实数根

其中正确命题的序号为

查看答案和解析>>

科目:高中数学 来源:2015-2016学年浙江省宁波市高一上期中数学试卷(解析版) 题型:选择题

,则下列不等式成立的是( )

A. B. C. D.

查看答案和解析>>

科目:高中数学 来源:2015-2016学年江苏省泰兴市高二上学期期中考试数学试卷(解析版) 题型:解答题

(本小题满分16分)已知函数

(Ⅰ)当时,求曲线在点处的切线方程;

(Ⅱ)若函数在区间上的最小值为0,求的值;

(Ⅲ)若对于任意恒成立,求的取值范围.

查看答案和解析>>

同步练习册答案